@Marvarra

39 Publicaciones

1.56k Interacciones

12 Seguidores

5 Siguiendo

Lista de publicaciones de Marvarra

APUNTES EN MI PERFIL

En mi perfil están subidos todos los temas de biología del desarrollo tanto de la primera parte con Mari Paz como la segunda con Mayte. Son apuntes muy buenos para aprobar con nota.

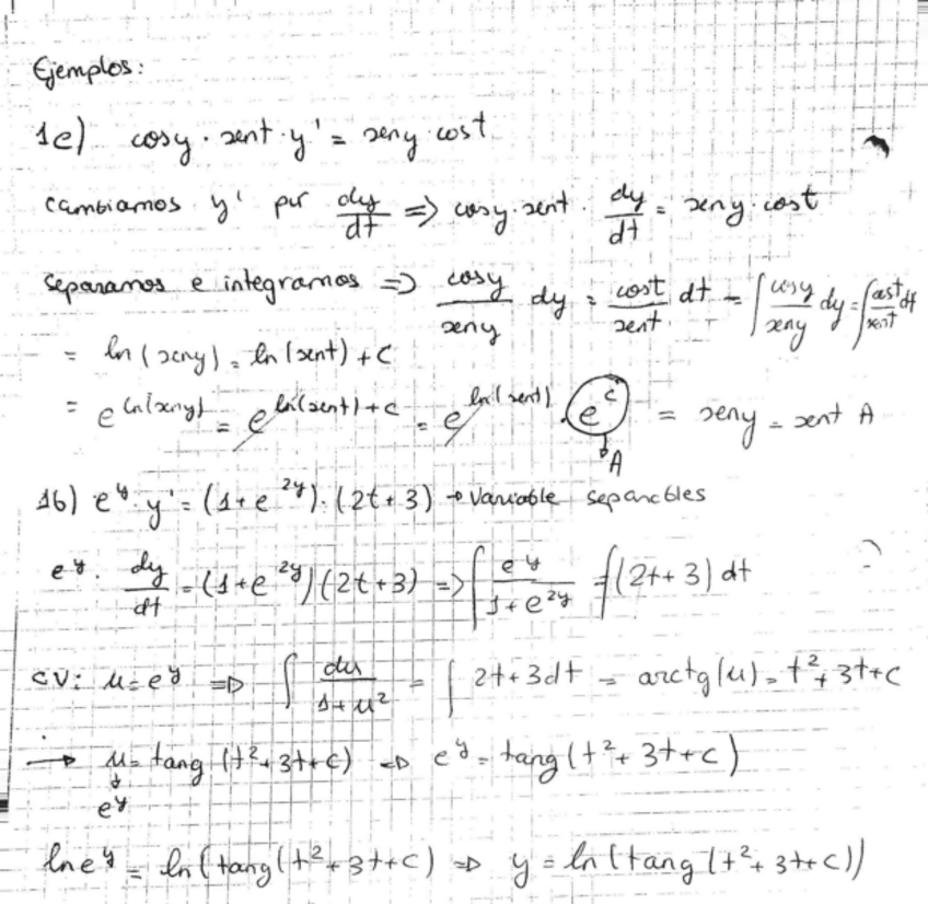
He publicado nuevos apuntes de 1º Biomatemáticas: Ecuaciones-diferenciales-resueltas.pdf

7 páginas

He publicado nuevos apuntes de 1º Biomatemáticas: Practicas-de-BIOMATEMATICAS.pdf

13 páginas

He publicado nuevos apuntes de 1º Métodos en Biología: Tema-11-y-12.pdf

4 páginas

He publicado nuevos apuntes de 2º Fundamentos de Ingeniería Genética y Genómica: TEMA-1-FIGG.pdf

3 páginas

He publicado nuevos apuntes de 2º Fundamentos de Ingeniería Genética y Genómica: TEMA-2-FIGG.pdf

3 páginas