@Maryy_28

Estudios: Grado en Física (UNIOVI) ...Mostrar más

Bio: :)

63 Publicaciones

863 Interacciones

11 Seguidores

5 Siguiendo

Lista de publicaciones de Maryy_28

Ejercicios de la segunda parte de la asignatura del examen global de mayo de 2026

2 páginas

He publicado nuevos apuntes de 2º Ecuaciones Diferenciales Aplicadas a la Física Ii: Resumen-EDO-EDAFII.pdf

4 páginas

Todas las fórmulas que se necesitan para el 2o parcial de electromagnetismo. Si detectas un fallo, agradeceré que me avises :)

3 páginas

apuntes

-

MyO-Tema9-SistemasContinuosOndas

Agradecimientos a @jamondeyork

MyO-Tema9-SistemasContinuosOndas-pags1-3.pdf
MyO-Tema9-SistemasContinuosOndas-pags4-7.pdf
MyO-Tema9-SistemasContinuosOndas-pags8-11.pdf

apuntes

-

Myo-Tema8-Oscilaciones-acopladas

Apuntes completos con explicaciones y ejemplos

MyO-Tema8.1-formulacion-problema.pdf
MyO-Tema8.2-frecuencias-normales.pdf
MyO-Tema8.3-coordenadas-normales.pdf
MyO-Tema8.4-vibraciones-moleculares.pdf
MyO-Tema8.5y8.6-vibr-forz-y-amort.pdf
MyO-Tema8.7-cuerda-vibrante.pdf

Apuntes completos con los ejemplos realizados en clase.

18 páginas

Apuntes completos del tema 5, con todas las explicaciones de clase y ejemplos.

20 páginas

He publicado nuevos apuntes de 2º Electromagnetismo: EM-Tema15-ondasEM.pdf

21 páginas

Apuntes completos del Tema 4, con ejemplos y explicaciones.

31 páginas

apuntes

-

MyO-Tema7-Oscilaciones

He publicado nuevos apuntes de 2º Mecánica y Ondas: MyO-Tema7-Oscilaciones

MyO-Tema7.1-Osc-arm-simple.pdf
MyO-Tema7.2-Osc-2D.pdf
MyO-Tema7.3-Osc-amort.pdf
MyO-Tema7.4-Osc-forz.pdf

Apuntes redactados a partir de los de Jose Ignacio y el libro recomendado para la asignatura. Incluye Radiación de Cuerpo Negro, Efecto Fotoeléctrico, Bremsstrahlung y Efecto Compton.

28 páginas

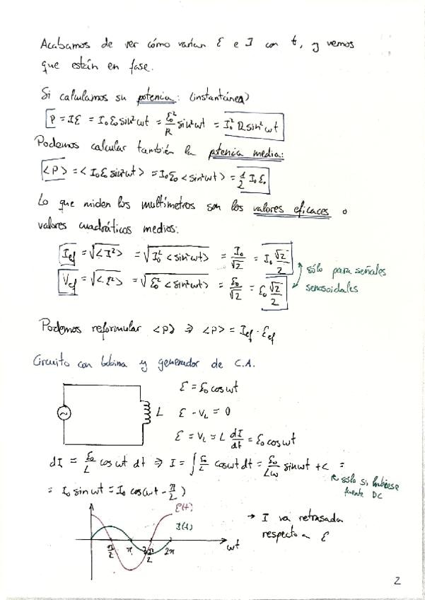
He publicado nuevos apuntes de 2º Electromagnetismo: EM-Tema13-Corriente-Alterna.pdf

13 páginas

He publicado nuevos apuntes de 2º Electromagnetismo: EM-Tema14-Ecs-Maxwell-y-ondas-EM.pdf

10 páginas

He publicado nuevos apuntes de 2º Electromagnetismo: EM-Tema10-Magnetismo-en-la-materia.pdf

19 páginas

He publicado nuevos apuntes de 2º Electromagnetismo: EM-Tema11-Faraday.pdf

8 páginas

He publicado nuevos apuntes de 2º Electromagnetismo: EM-Tema12-Energia-Campo-Mag.pdf

8 páginas

apuntes

-

MyO-Tema6-Sólido-Rígido

He publicado nuevos apuntes de 2º Mecánica y Ondas: MyO-Tema6-Sólido-Rígido

MyO-Tema6.4-Rot-infinit.pdf
MyO-Tema6.3-Rot-finit.pdf
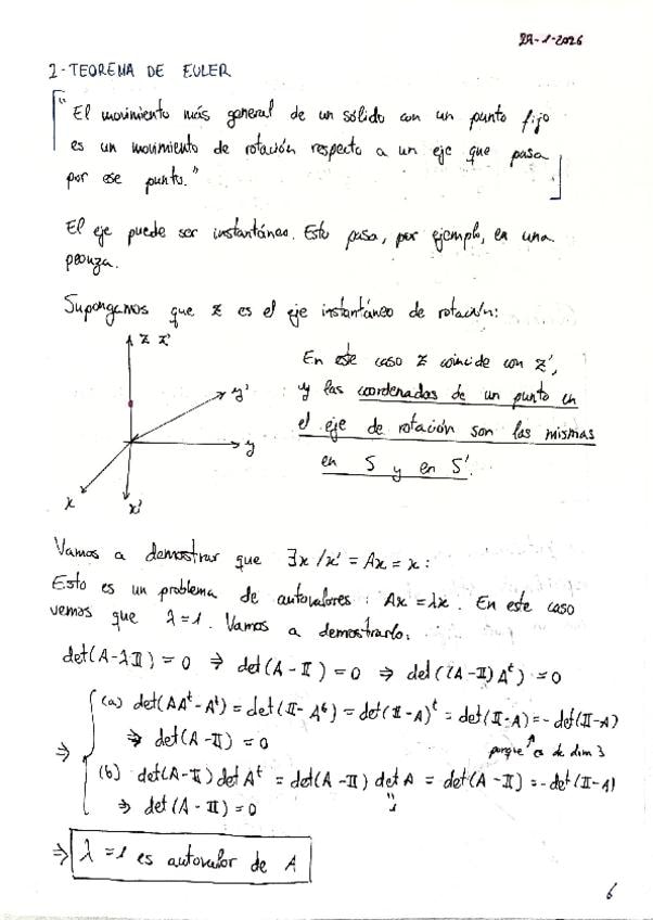
MyO-Tema6.2-Tma-Euler.pdf
MyO-Tema6.1-Intro-coordenadas-ang-Euler.pdf
MyO-Tema6.5-Momento-ang-energia.pdf
MyO-Tema6.6-ejes-principales.pdf

apuntes

-

MyO-Tema5-Formalismo-Hamiltoniano

He publicado nuevos apuntes de 2º Mecánica y Ondas: MyO-Tema5-Formalismo-Hamiltoniano

MyO-Tema5.4-Poisson.pdf
MyO-Tema5.3-Met-variacionales.pdf
MyO-Tema5.2-Tmas-conservacion.pdf
MyO-Tema5.1-Legendre-Hamilton.pdf

Enunciados y solución del parcial 1 de electromagnetismo, temas 1 al 9

5 páginas

Todas las fórmulas del 1er cuatrimestre de Electromagnetismo (temas 1 - 9)

3 páginas