@masinfojose

46 Publicaciones

854 Interacciones

1 Seguidores

0 Siguiendo

Lista de publicaciones de masinfojose

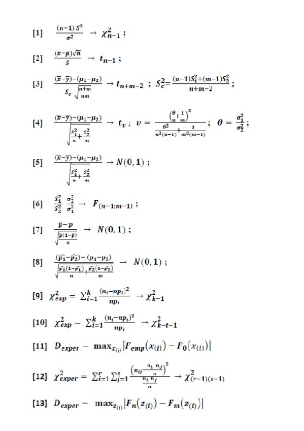
He publicado nuevos apuntes de 3º Econometría: Formulario.pdf

1 página

He publicado nuevos apuntes de 1º Microeconomía: El-excedente-del-consumidor-es-la-utilidad-total-menos-El-excedente-del-productor-es-la-diferencia-entre-el-ingreso.docx

word

He publicado nuevos apuntes de 1º Economía Política: Desplazamientos de la demanda yo de la oferta. Material complementario tema 2.pdf

3 páginas

He publicado nuevos apuntes de 2º Dirección y Administración de Empresas: DAE - Tema 02 - Cultura organizacional (1).pptx

Miniatura no disponible
powerpoint

He publicado nuevos apuntes de 1º Introducción a las Operaciones Financieras: Tema 2. Leyes Simples.pptx

powerpoint

He publicado nuevos apuntes de 2º Dirección Comercial: TEMA3. PRECIO.pdf

28 páginas

He publicado nuevos apuntes de 2º Dirección Comercial: Tema 6_2018.pdf

20 páginas

He publicado nuevos apuntes de 2º Dirección y Administración de Empresas: DAE - Tema 09 - Comunicación y sistemas de información.pdf

23 páginas

He publicado nuevos apuntes de 1º Economía Política: Lecturas temas 3 y 4.pdf

13 páginas

He publicado nuevos apuntes de 2º Dirección y Administración de Empresas: DAE - Tema 07 - Liderazgo.pdf

45 páginas

He publicado nuevos apuntes de 2º Dirección Comercial: TEMA 2. PRODUCTO Prado.pdf

31 páginas

He publicado nuevos apuntes de 2º Dirección y Administración de Empresas: DAE - Tema 05 - Planificación (1).pptx

powerpoint

He publicado nuevos apuntes de 1º Economía Política: Capitulo 5 IntrMacroalum.pdf

30 páginas

He publicado nuevos apuntes de 1º Economía Política: plantilla_articulo 2016 (3).doc

word

He publicado nuevos apuntes de 2º Dirección y Administración de Empresas: DAE - Tema 10 - Conflicto y negociación.pptx

Miniatura no disponible
powerpoint

He publicado nuevos apuntes de 2º Dirección y Administración de Empresas: DAE - Tema 01 - Administración de empresas (1).pptx

Miniatura no disponible
powerpoint

He publicado nuevos apuntes de 1º Introducción a las Operaciones Financieras: Tema 4. Leyes Compuestas y Leyes continuas.pdf

21 páginas

He publicado nuevos apuntes de 1º Introducción a las Operaciones Financieras: Relación 1-IOF- 2018-2019.pdf

2 páginas

He publicado nuevos apuntes de 2º Dirección y Administración de Empresas: DAE - Tema 06 - Motivación.pptx

Miniatura no disponible
powerpoint

He publicado nuevos apuntes de 1º Introducción a las Operaciones Financieras: Relación Tema 6-IOF-2018-2019.pdf

9 páginas