@Mateman
Bio: Estudiante de Matemáticas y superviviente (de momento) de lo que esto conlleva. A pesar de todo, disfrutando cada día más de esta ciencia que, a pesar de medir tu nivel de estrés con ecuaciones diferenciales y sustituir los números por letras de lenguas muertas, es preciosa.
20 Publicaciones
929 Interacciones
3 Seguidores
1 Siguiendo
Lista de publicaciones de Mateman
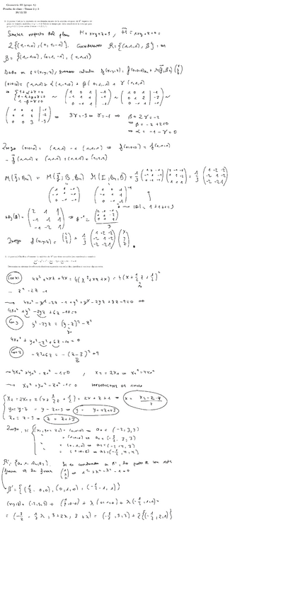
He publicado nuevos examenes de 1º Geometría II: Parcial-2-RESUELTO.pdf
He publicado nuevos examenes de 1º Geometría II: Examenes-1819-RESUELTOS.pdf
He publicado nuevos examenes de 1º Geometría II: Parcial-2019-RESUELTO.pdf
He publicado nuevos examenes de 1º Geometría II: ORDINARIO-2020-RESUELTO.pdf
He publicado nuevos examenes de 1º Geometría II: ORDINARIO-2021-RESUELTO.pdf
Alguien que haya cursado Historia de las Matemáticas, ¿la recomienda? ¿Es interesante?, ¿o consiste unicamente en memorizar datos historicos y demas? Gracias.
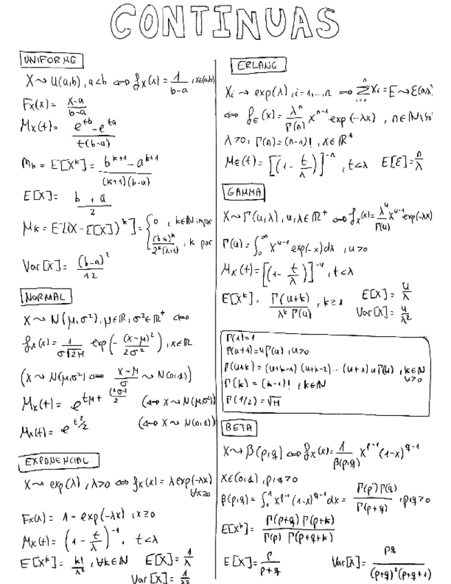
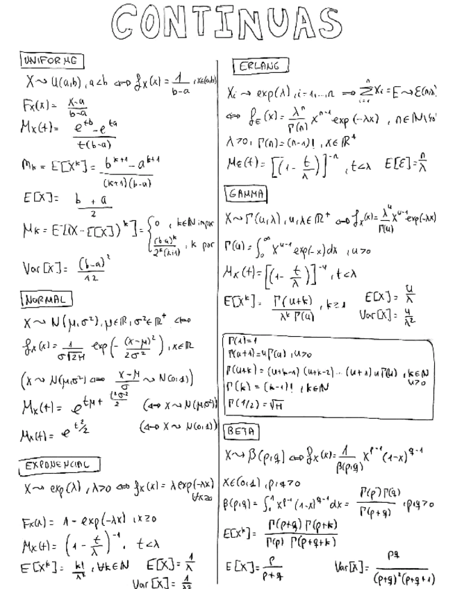
Aqui os dejo una tabla completa con todas ls distribuciones continuas y discretas, que seguro que os ayuda muchisimo para poder aprobar la asignatura de probabilidad.
ejercicios
-
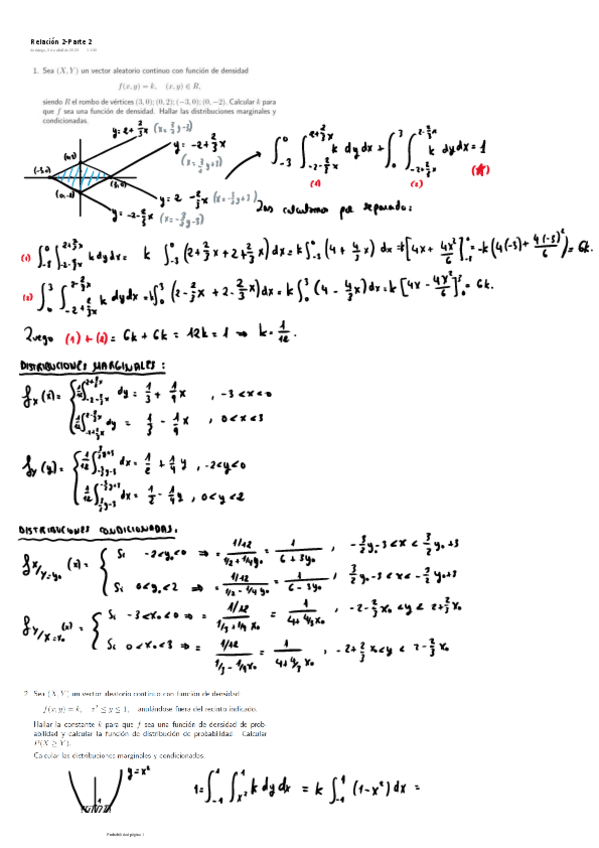
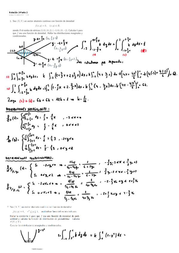
Ejercicios Relación 2 Parte 2
Algunos ejercicios de la parte 2 de la relacion de probabilidad, explicados al detalle y con esquemas y dibujos.
ejercicios
-
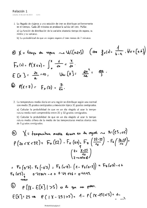
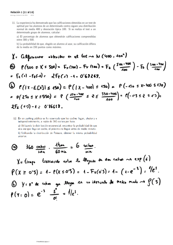
Relación 1 COMPLETA
Relación 1 de Probabilidad totalmente completa, explicada al detalle y paso a paso.
Algunos ejercicios de la relación 2 de Mecánica, explicados paso a paso al detalle.
Subida la relacion 2 de probabilidad completa! Suerte con esos examenes ;)
Relación 2 de Probabilidad completa, explicada paso a paso, al detalle, con dibujos, gráficas y mucho más para que lo logres entender de una vez por todas.
¡ Ya está subida la recopilación de funciones de C++ para aprobar Informática II ! ¡Ánimo y mucha suerte!

Recopilación de algunas de las funciones más usadas en C++ en Informática II, esenciales para aprobar la asignatura.