@Maymoyi

143 Publicaciones

2.28k Interacciones

2 Seguidores

0 Siguiendo

Lista de publicaciones de Maymoyi

He publicado nuevos examenes de 1º Estructuras I: Test-E1Enunciado.pdf

1 página

He publicado nuevos examenes de 1º Estructuras I: Test-E1Solucion.pdf

6 páginas

He publicado nuevos examenes de 3º Estructuras II: Prueba-de-ControlSolucion.pdf

2 páginas

He publicado nuevos examenes de 3º Estructuras II: House-Mill-Creek-3DArq-Louis-Kahn.pdf

1 página

He publicado nuevos examenes de 3º Estructuras II: House-Tigh-Port-Na-LongArq-Dualchas.pdf

1 página

He publicado nuevos examenes de 3º Estructuras II: Casa-Profesores-AhmedabadArq-Louis-Kahn.pdf

1 página

He publicado nuevos examenes de 3º Estructuras II: House-FethardArq-Aughey-OFlaherty.pdf

1 página

He publicado nuevos examenes de 3º Estructuras II: Casa-GuerreroArq-Alberto-Campo-Baeza.pdf

1 página

He publicado nuevos examenes de 3º Estructuras II: Casa-GasparArq-Alberto-Campo-Baeza.pdf

1 página

He publicado nuevos examenes de 3º Estructuras II: Casa-Barreira-AntunesArq-Aires-Mateus.pdf

1 página

He publicado nuevos examenes de 3º Estructuras II: EJEMPLO2019.2020Control-2.pdf

2 páginas

He publicado nuevos practicas de 3º Construccion III: CALCULO-Anclajes.pdf

3 páginas

He publicado nuevos apuntes de 3º Construccion III: RESUMEN-TEMA-14.pdf

9 páginas

He publicado nuevos ejercicios de 3º Construccion III: DETALLES-3.pdf

1 página

He publicado nuevos ejercicios de 3º Construccion III: DETALLES-4.pdf

1 página

He publicado nuevos ejercicios de 3º Construccion III: DETALLES-1.pdf

1 página

He publicado nuevos ejercicios de 3º Construccion III: DETALLES-2.pdf

1 página

He publicado nuevos ejercicios de 4º Estructuras III: Prontuario-Informatico-del-Hormigon-EHE-08.lnk

Miniatura no disponible

He publicado nuevos ejercicios de 4º Estructuras III: Prontuario-EHE-08-en-EXCEL.xlsx

excel

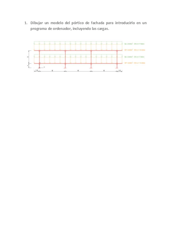
He publicado nuevos practicas de 4º Estructuras III: ANEJO-DE-CALCULOPORTICO.pdf

33 páginas