@mbausan

Estudios: Grado en Ingeniería Física (UC3M) ...Mostrar más

101 Publicaciones

1.47k Interacciones

4 Seguidores

1 Siguiendo

Lista de publicaciones de mbausan

ejercicios

-

Ordinary Differential Equations Problems Solved

He publicado nuevos ejercicios de 2º Ecuaciones Diferenciales: Ordinary Differential Equations Problems Solved

Chapter-1-Problems.pdf
Chapter-1-Problems.pdf
Chapter-3-Part-1.pdf
Chapter-3-Part-1.pdf

ejercicios

-

Materials Science and Engineering Solved Problems

He publicado nuevos ejercicios de 2º Ciencia e Ingeniería de Materiales: Materials Science and Engineering Solved Problems

Topic-4-Diffusion.pdf
Topic-4-Diffusion.pdf
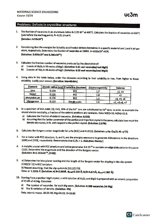
Topic-3-Defects-in-crystalline-structures.pdf
Topic-3-Defects-in-crystalline-structures.pdf

ejercicios

-

Quantum Physics Solved Problems

He publicado nuevos ejercicios de 2º Física Cuántica: Quantum Physics Solved Problems

Week-3-Problems.pdf
Week-3-Problems.pdf
Week-4-Problems.pdf
Week-4-Problems.pdf
Week-4-Additional-Problems.pdf
Week-4-Additional-Problems.pdf

ejercicios

-

Complex Variable Solved Problems

He publicado nuevos ejercicios de 2º Variable compleja y transformadas: Complex Variable Solved Problems

Introduction-to-Complex-Numbers.pdf
Introduction-to-Complex-Numbers.pdf

ejercicios

-

Electromagnetism problems

He publicado nuevos ejercicios de 1º Física II: Electromagnetism problems

Physics-II-Magnetic-Forces.pdf
Physics-II-Magnetic-Forces.pdf
Physics-II-Magnetic-Forces.pdf
Physics-II-Sources-of-the-Magnetic-Field.pdf
Physics-II-Sources-of-the-Magnetic-Field.pdf
Physics-II-Sources-of-the-Magnetic-Field.pdf

ejercicios

-

Electromagnetism problems

He publicado nuevos ejercicios de 1º Física II: Electromagnetism problems

Physics-II-Magnetic-Forces.pdf
Physics-II-Magnetic-Forces.pdf
Physics-II-Sources-of-the-Magnetic-Field.pdf
Physics-II-Sources-of-the-Magnetic-Field.pdf
Physics-II-Magnetic-Fields-Additional-Problems.pdf
Physics-II-Magnetic-Fields-Additional-Problems.pdf

ejercicios

-

Electromagnetism problems

He publicado nuevos ejercicios de 1º Física: Electromagnetism problems

Physics-II-Magnetic-Forces.pdf
Physics-II-Magnetic-Forces.pdf
Physics-II-Magnetic-Forces.pdf
Physics-II-Sources-of-the-Magnetic-Field.pdf
Physics-II-Sources-of-the-Magnetic-Field.pdf
Physics-II-Sources-of-the-Magnetic-Field.pdf

ejercicios

-

Electromagnetism problems

He publicado nuevos ejercicios de 1º Física II: Electromagnetism problems

Physics-II-Magnetic-Forces.pdf
Physics-II-Magnetic-Forces.pdf
Physics-II-Sources-of-the-Magnetic-Field.pdf
Physics-II-Sources-of-the-Magnetic-Field.pdf
Physics-II-Magnetic-Fields-Additional-Problems.pdf
Physics-II-Magnetic-Fields-Additional-Problems.pdf

ejercicios

-

Calculus II Chapter 3 Solved Excercises

He publicado nuevos ejercicios de 1º Cálculo II: Calculus II Chapter 3 Solved Excercises

Topic-3.1-Double-and-Triple-integrals.pdf
Topic-3.1-Double-and-Triple-integrals.pdf

ejercicios

-

Calculus II Chapter 3 Solved Excercises

He publicado nuevos ejercicios de 1º Cálculo II: Calculus II Chapter 3 Solved Excercises

Topic-3.1-Double-and-Triple-integrals.pdf
Topic-3.1-Double-and-Triple-integrals.pdf

ejercicios

-

Calculus II Chapter 3 Solved Excercises

He publicado nuevos ejercicios de 1º Cálculo II: Calculus II Chapter 3 Solved Excercises

Topic-3.1-Double-and-Triple-integrals.pdf
Topic-3.1-Double-and-Triple-integrals.pdf

ejercicios

-

Calculus II Chapter 3 Solved Excercises

He publicado nuevos ejercicios de 1º Cálculo II: Calculus II Chapter 3 Solved Excercises

Topic-3.1-Double-and-Triple-integrals.pdf
Topic-3.1-Double-and-Triple-integrals.pdf

ejercicios

-

Calculus II Chapter 3 Solved Excercises

He publicado nuevos ejercicios de 1º Cálculo II: Calculus II Chapter 3 Solved Excercises

Topic-3.1-Double-and-Triple-integrals.pdf
Topic-3.1-Double-and-Triple-integrals.pdf

ejercicios

-

Calculus II Chapter 2 Solved Excercises

He publicado nuevos ejercicios de 1º Cálculo II: Calculus II Chapter 2 Solved Excercises

2.1-and-2.2-Higher-order-derivatives-Vector-functions-and-differential-operators.pdf
2.1-and-2.2-Higher-order-derivatives-Vector-functions-and-differential-operators.pdf
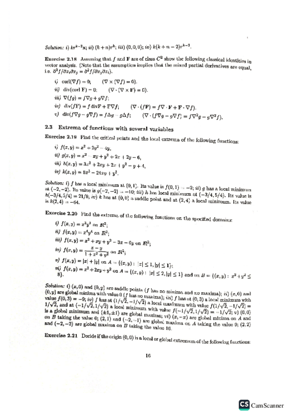
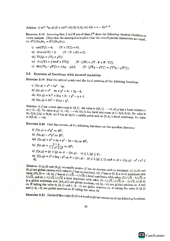
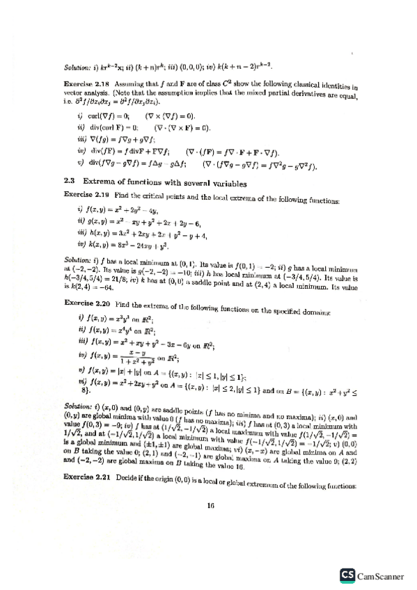
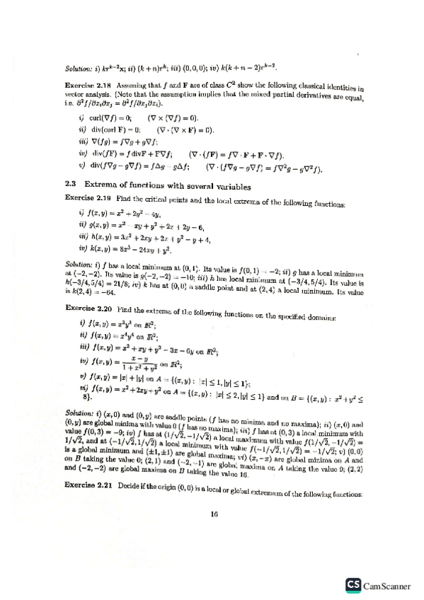
2.3-Extrema-of-functions.pdf
2.3-Extrema-of-functions.pdf
Topic-2.4-Constrained-Extrema.pdf
Topic-2.4-Constrained-Extrema.pdf

ejercicios

-

Calculus II Capítulo 2 Ejercicios Resueltos

He publicado nuevos ejercicios de 1º Cálculo II: Calculus II Capítulo 2 Ejercicios Resueltos

2.1-and-2.2-Higher-order-derivatives-Vector-functions-and-differential-operators.pdf
2.1-and-2.2-Higher-order-derivatives-Vector-functions-and-differential-operators.pdf
2.3-Extrema-of-functions.pdf
2.3-Extrema-of-functions.pdf
Topic-2.4-Constrained-Extrema.pdf
Topic-2.4-Constrained-Extrema.pdf

ejercicios

-

Calculus II Chapter 2 Solved Excercises

He publicado nuevos ejercicios de 1º Cálculo II: Calculus II Chapter 2 Solved Excercises

2.1-and-2.2-Higher-order-derivatives-Vector-functions-and-differential-operators.pdf
2.1-and-2.2-Higher-order-derivatives-Vector-functions-and-differential-operators.pdf
2.3-Extrema-of-functions.pdf
2.3-Extrema-of-functions.pdf
Topic-2.4-Constrained-Extrema-2.pdf
Topic-2.4-Constrained-Extrema-2.pdf

ejercicios

-

Calculus II Capítulo 2 Ejercicios Resueltos

He publicado nuevos ejercicios de 1º Cálculo II: Calculus II Capítulo 2 Ejercicios Resueltos

2.1-and-2.2-Higher-order-derivatives-Vector-functions-and-differential-operators.pdf
2.1-and-2.2-Higher-order-derivatives-Vector-functions-and-differential-operators.pdf
2.3-Extrema-of-functions.pdf
2.3-Extrema-of-functions.pdf
Topic-2.4-Constrained-Extrema.pdf
Topic-2.4-Constrained-Extrema.pdf

ejercicios

-

Calculus II Chapter 2 Solved Excercises

He publicado nuevos ejercicios de 1º Cálculo II: Calculus II Chapter 2 Solved Excercises

2.1-and-2.2-Higher-order-derivatives-Vector-functions-and-differential-operators.pdf
2.1-and-2.2-Higher-order-derivatives-Vector-functions-and-differential-operators.pdf
2.3-Extrema-of-functions.pdf
2.3-Extrema-of-functions.pdf
Topic-2.4-Constrained-Extrema.pdf
Topic-2.4-Constrained-Extrema.pdf

ejercicios

-

Probability and Statistics Problems

He publicado nuevos ejercicios de 1º Probabilidad y Estadística: Probability and Statistics Problems

Topic-3-Probability-Excercises.pdf
Topic-3-Probability-Excercises.pdf
Probability-and-Statistics-Chapter-4-Random-Variables.pdf
Probability-and-Statistics-Chapter-4-Random-Variables.pdf
Chapter-5-Introduction-to-Statistical-Inference.pdf
Chapter-5-Introduction-to-Statistical-Inference.pdf