@mc_II

10 Publicaciones

1.05k Interacciones

0 Seguidores

0 Siguiendo

Lista de publicaciones de mc_II

He publicado nuevos apuntes de 3º Biorreactores: Apuntes-para-examen-biorreactores.pdf

44 páginas

examenes

-

Examen junio 2022

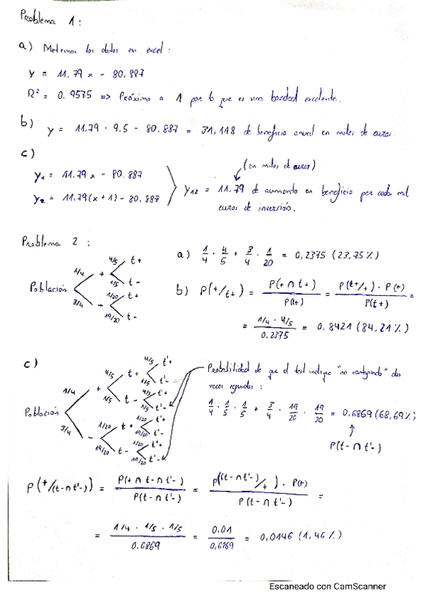
He publicado nuevos examenes de 2º Estadística: Examen junio 2022

Examen-junio-2022.pdf
Examen-junio-2022-resuelto.pdf

examenes

-

Examen enero 2022

He publicado nuevos examenes de 2º Estadística: Examen enero 2022

Examen-enero-2022.pdf
Examen-enero-2022-resuelto.pdf

He publicado nuevos apuntes de 2º Virología: CLASIFICACION-DE-BALTIMORE-Temas-6-al-12.pdf

9 páginas

He publicado nuevos apuntes de 2º Genética: Dos-posibles-preguntas-cortas.pdf

2 páginas

He publicado nuevos apuntes de 2º Genética: Teoria-importante-para-examen-de-genetica.pdf

29 páginas

He publicado nuevos examenes de 2º Biología Animal y Vegetal: Examen-BAV-enero-2022.pdf

7 páginas

He publicado nuevos apuntes de 2º Biología Animal y Vegetal: Ejemplo-preguntas-examen-BAV.pdf

14 páginas