@mdcuesta

Estudios: Grado en Ciencias Ambientales (UMA) ...Mostrar más

33 Publicaciones

686 Interacciones

1 Seguidores

0 Siguiendo

Lista de publicaciones de mdcuesta

apuntes

-

Edafologia, teoria 2020-2021

He publicado nuevos apuntes de 2º Edafología y Geomorfología: Edafologia, teoria 2020-2021

Tema-2CONSTITUYENTES-DEL-SUELO.pdf
Tema-3.pdf
Tema-4-factores-formadores-del-suelo.pdf
Tema-5-Evolucion-del-suelo.pdf
Tema-6-PROPIEDADES-FISICAS-DEL-SUELO.pdf
Tema-7.pdf

He publicado nuevos apuntes de 1º Microbiología: crecimiento-bacteriano-problemas-resueltos.pdf

2 páginas

apuntes

-

3ª parte apuntes (2019-2020)

He publicado nuevos apuntes de 1º Geología: 3ª parte apuntes (2019-2020)

Tema-11-fracturas-fallas-y-pliegues.pdf
Tema-12-Formacion-de-montanas-orogenesis.pdf
Tema-10-los-pliegues.pdf
Tema-9-esfuerzos-y-deformaciones.pdf

apuntes

-

Integración

He publicado nuevos apuntes de 1º Matemáticas: Integración

Metodos-integracion.pdf
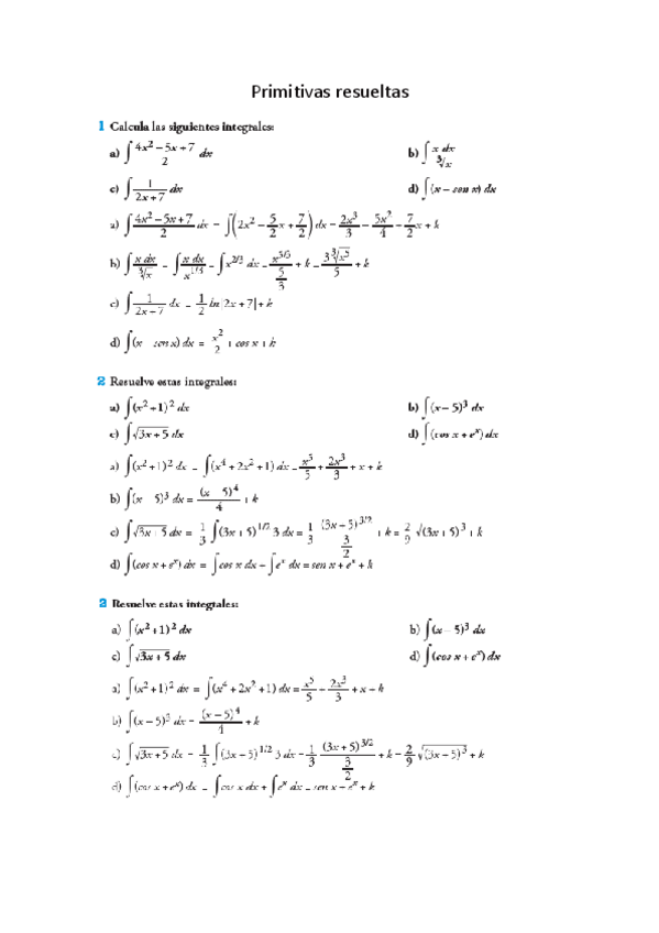
Primitivas-resueltas-del-libro-de-texto-pag.pdf

He publicado nuevos apuntes de 1º Matemáticas: 2020-febrero-ordinaria.pdf

1 página

apuntes

-

Genética diapositivas (2019-2020)

He publicado nuevos apuntes de 1º Biología Celular y Genética: Genética diapositivas (2019-2020)

Tema 1Introduccion.pdf
Tema-4.pdf
Tema-6.pdf
Tema-8.pdf
Tema-5.pdf
Tema 2.pdf

apuntes

-

Funciones, ayudas

He publicado nuevos apuntes de 1º Matemáticas: Funciones, ayudas

Aclaraciones-sobre-representacion-de-funciones.pdf
Indeterminaciones.pdf