@MDT79

Estudios: Grado en Ingeniería Mecánica (US) ...Mostrar más

65 Publicaciones

2k Interacciones

7 Seguidores

1 Siguiendo

Lista de publicaciones de MDT79

apuntes

-

Formulario por temas

He publicado nuevos apuntes de 2º Circuitos Eléctricos: Formulario por temas

Tema-2-Tecnicas-de-Analisis-de-Circuitos-I.pdf
Tema-1-CE-Elementos-de-circuitos.pdf
Tema-3-Tecnicas-de-Analisis-de-Circuitos-II.pdf
Tema-4-Analisis-de-Circuitos-Trifasicos.pdf
Tema-5-Potencia-en-Circuitos-Trifasicos.pdf

He publicado nuevos apuntes de 2º Circuitos Eléctricos: Boletin-2-CE.pdf

41 páginas

He publicado nuevos apuntes de 2º Electrónica Industrial: Teoria-Electronica-.pdf

28 páginas

He publicado nuevos apuntes de 2º Electrónica Industrial: Teoria-Electronica-.pdf

28 páginas

apuntes

-

Primer Parcial (Teoria+ejercicios)

He publicado nuevos apuntes de 2º Matemáticas III: Primer Parcial (Teoria+ejercicios)

Tema-2-MIII-.pdf
Tema-2-MIII-.pdf
Tema-1-MIII-.pdf
Tema-1-MIII-.pdf
Tema-3-MIII.pdf
Tema-3-MIII.pdf

ejercicios

-

Boletines resueltos

He publicado nuevos ejercicios de 1º Física I: Boletines resueltos

Boletin-Dinamica-II.pdf
Boletin-Dinamica-II.pdf
Boletin-Termodinamica-.pdf
Boletin-Termodinamica-.pdf
Boletin-Solido-Rigido.pdf
Boletin-Solido-Rigido.pdf

examenes

-

Exámenes resueltos

He publicado nuevos examenes de 1º Física I: Exámenes resueltos

sparcial2017-2018.pdf
sparcial2017-2018.pdf
sparcial2016-2017.pdf
sparcial2016-2017.pdf
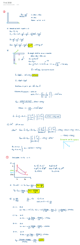
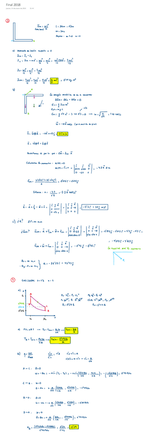
Final-2018.pdf
Final-2018.pdf

apuntes

-

Teoría Bernardo

He publicado nuevos apuntes de 1º Física I: Teoría Bernardo

SÓLIDO RÍGIDO .pdf
SÓLIDO RÍGIDO .pdf
TERMODINAMICA-Primer-Ppio.pdf
TERMODINAMICA-Primer-Ppio.pdf
TERMODINAMICA-SEGUNDO-PPIO.pdf
TERMODINAMICA-SEGUNDO-PPIO.pdf

He publicado nuevos ejercicios de 2º Circuitos Eléctricos: Boletin-1-CE.pdf

7 páginas

He publicado nuevos apuntes de 1º Tecnología Eléctrica: Formulario-TE-2.pdf

48 páginas

apuntes

-

boletines 18/19

He publicado nuevos apuntes de 1º Tecnología Eléctrica: boletines 18/19

boletin_2_2017.pdf
Boletín 3.pdf
Boletín 1.pdf
Boletín 4.pdf
Boletín 5.pdf
boletin-6-tec-electrica.pdf

apuntes

-

BOLETINES 18/19

He publicado nuevos apuntes de 1º Tecnología Eléctrica: BOLETINES 18/19

Boletín 4.pdf
Boletín 4.pdf
Boletín 1.pdf
Boletín 1.pdf
Boletín 5.pdf
Boletín 5.pdf

He publicado nuevos apuntes de 1º Matemáticas II: Matematicas-II1.pdf

68 páginas

He publicado nuevos apuntes de 1º Construcción y Topografía: Tema-4-Morteros.pdf

5 páginas

He publicado nuevos apuntes de 1º Construcción y Topografía: Tema-4-Morteros.pdf

5 páginas

He publicado nuevos apuntes de 1º Construcción y Topografía: Tema 3_ Conglomerantes hidráulicos.pdf

8 páginas

He publicado nuevos apuntes de 1º Construcción y Topografía: Tema 3_ Conglomerantes hidráulicos.pdf

8 páginas

He publicado nuevos apuntes de 1º Construcción y Topografía: Práctica 10 BIS.pdf

6 páginas

He publicado nuevos apuntes de 1º Construcción y Topografía: Práctica 10 BIS.pdf

6 páginas

He publicado nuevos apuntes de 1º Construcción y Topografía: Tema 2_ Materiales pétreos .pdf

5 páginas