@medicinaa

19 Publicaciones

951 Interacciones

2 Seguidores

0 Siguiendo

Lista de publicaciones de medicinaa

He publicado nuevos apuntes de 2º Radiología: PARCIAL-RADIOLOGIA-2019.docx.pdf

5 páginas

He publicado nuevos apuntes de 2º Fisiología Humana: EXAMEN-PARCIAL-FISIO-2022-2023.pdf

29 páginas

He publicado nuevos examenes de 1º Anatomía Humana I: EXAMENES-ANATOMIA-I-ONLINE.pdf

74 páginas

He publicado nuevos apuntes de 2º Fisiología Humana: Parcial-corregido-2.png

Imagen

He publicado nuevos apuntes de 2º Fisiología Humana: Parcial-corregido-3.png

Imagen

He publicado nuevos apuntes de 2º Fisiología Humana: Parcial-corregido-1.png

Imagen

He publicado nuevos apuntes de 2º Fisiología Humana: Parcial-corregido-4.png

Imagen

He publicado nuevos apuntes de 2º Fisiología Humana: Final-Junio-2016.pdf

21 páginas

He publicado nuevos apuntes de 2º Fisiología Humana: Preguntas-2o-cuatri.pdf

3 páginas

He publicado nuevos apuntes de 2º Bioquímica II: bioquimica-metabolica-arrastrado-2.pdf

11 páginas

He publicado nuevos apuntes de 3º Epidemiología: 24053848-DESG-ESTADISTICA-arrastrado.pdf

3 páginas

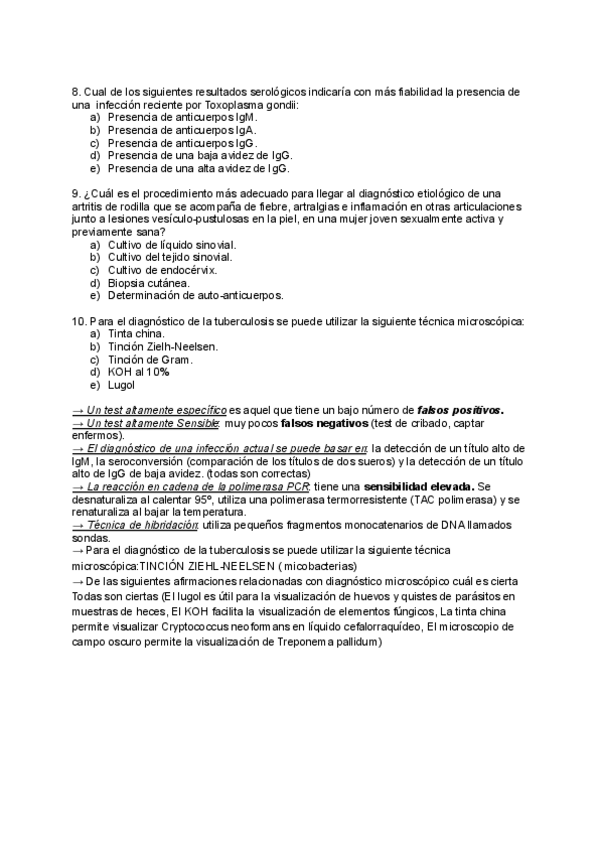
He publicado nuevos apuntes de 3º Microbiología II: EXAMENES-MICROBIOLOGIA.pdf

70 páginas

He publicado nuevos apuntes de 2º Fisiología Humana: 1o-y-2oQ-FISIO-2020-1.pdf

25 páginas

He publicado nuevos apuntes de 3º Epidemiología: preguntas-mir-epi.pdf

15 páginas

He publicado nuevos apuntes de 1º Biología: mayo-2023.pdf

5 páginas

He publicado nuevos apuntes de 1º Biología: examen-biologia-2023.pdf

7 páginas

He publicado nuevos examenes de 2º Fisiología Humana: Guyton-y-Hall-Repaso-de-Fisiologia-arrastrado-2.pdf

11 páginas

He publicado nuevos examenes de 2º Fisiología Humana: Guyton-y-Hall-Repaso-de-Fisiologia-arrastrado-4.pdf

6 páginas

He publicado nuevos examenes de 2º Fisiología Humana: Guyton-y-Hall-Repaso-de-Fisiologia-arrastrado.pdf

16 páginas