@MediTips

Estudios: Medicina (FBA)

Bio: En este sitio encontrarás resúmenes y apuntes de medicina, diseñados para ayudar a estudiantes a entender conceptos clave y prepararse para exámenes. Cada documento está hecho con claridad y dedicación. ¡Espero que te sea útil en tu camino hacia ser profesional de la salud!

61 Publicaciones

27 Interacciones

1 Seguidores

0 Siguiendo

Lista de publicaciones de MediTips

He publicado nuevos apuntes de 7º Rotación de Tocoginecología: Tooginecologia-Final-de-Carrera.pdf

26 páginas

He publicado nuevos apuntes de 7º Rotación de Cirugía (Y Urgencias Quirúrgicas): Cirugia-Final-de-Carrera.pdf

7 páginas

He publicado nuevos apuntes de 7º Rotación de Medicina Infanto-Juvenil: Pediatria-Final-de-Carrera.pdf

23 páginas

He publicado nuevos apuntes de 6º Medicina Interna Ii y Terapéutica Clínica Ii: RESUMEN-REUMATOLOGIA.pdf

92 páginas

He publicado nuevos apuntes de 6º Medicina Interna Ii y Terapéutica Clínica Ii: RESUMEN-RENAL.pdf

48 páginas

He publicado nuevos apuntes de 6º Medicina Interna Ii y Terapéutica Clínica Ii: RECUPERATORIO-DE-ERA-DE-ENDOCRINO-DIC-2019.docx

word

He publicado nuevos apuntes de 6º Medicina Interna Ii y Terapéutica Clínica Ii: Recuperatorio-4ta-ERA-Endocrinologia.pdf

14 páginas

He publicado nuevos apuntes de 6º Medicina Interna Ii y Terapéutica Clínica Ii: EXAMEN-A-DESARROLLAR-ENDOCRINO.pdf

7 páginas

He publicado nuevos apuntes de 6º Medicina Interna Ii y Terapéutica Clínica Ii: ERA-ENDOCRINOLOGIA.pdf

17 páginas

He publicado nuevos apuntes de 6º Medicina Interna Ii y Terapéutica Clínica Ii: APUNTE-RESUMEN-DE-ENDOCRINO.pdf

95 páginas

He publicado nuevos apuntes de 5º Medicina Interna I: CARDIOLOGIA.pdf

188 páginas

He publicado nuevos apuntes de 5º Medicina Interna I: DIGESTIVO.pdf

217 páginas

He publicado nuevos apuntes de 5º Medicina Interna I: NEUROLOGIA.pdf

118 páginas

He publicado nuevos apuntes de 5º Medicina Interna I: RESPIRATORIO.pdf

173 páginas

He publicado nuevos apuntes de 6º Neurología: Neuro-10-Cuadro-Cefalea.pdf

1 página

He publicado nuevos apuntes de 6º Neurología: Neuro-9-Consciencia-Coma-Miastenia-Gravis.pdf

14 páginas

He publicado nuevos apuntes de 6º Neurología: Neuro-8-Movimientos-involuntarios.pdf

10 páginas

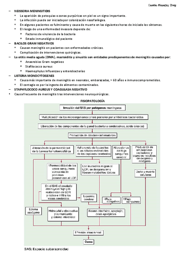
He publicado nuevos apuntes de 6º Neurología: Neuro-7-Meningitis-y-Encefalitis.pdf

18 páginas

He publicado nuevos apuntes de 6º Neurología: Neuro-6-Examen-de-la-sensibilidad.pdf

12 páginas

He publicado nuevos apuntes de 6º Neurología: Neuro-5-Epilepsia-y-Demencia.pdf

18 páginas