@meerii94

29 Publicaciones

1.83k Interacciones

1 Seguidores

0 Siguiendo

Lista de publicaciones de meerii94

ejercicios

-

ejercicios resueltos

He publicado nuevos ejercicios de 1º Matemáticas: ejercicios resueltos

relacion6-1112.pdf
relacionresuelta1.pdf
Relacion3resueltos1112.pdf
minirelacion3.pdf
relacion7.pdf
relacion5.pdf

He publicado nuevos examenes de 1º Matemáticas: Examenfinal1.pdf

3 páginas

examenes

-

examenes 2012

He publicado nuevos examenes de 1º Contabilidad General: examenes 2012

EXAMEN_SEPTIEMBRE_2012.pdf
EXAMEN_JULIO_2012.pdf

He publicado nuevos examenes de 1º Matemáticas: ExamenparcialA4.pdf

3 páginas

He publicado nuevos examenes de 1º Matemáticas: Examenparcialdef2A.pdf

3 páginas

He publicado nuevos ejercicios de 1º Matemáticas: relacionsinrresolver1.pdf

2 páginas

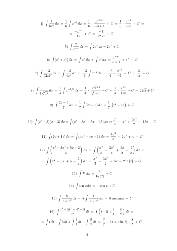
He publicado nuevos ejercicios de 1º Matemáticas: ejerciciosresueltos5.pdf

7 páginas

He publicado nuevos examenes de 1º Matemáticas: Examenfebrero1-2012.pdf

3 páginas

He publicado nuevos test de 4º Marketing Social y Político: Preguntas_tema_5.pdf

8 páginas

He publicado nuevos test de 4º Marketing Social y Político: Preguntas_tema_4.pdf

12 páginas

apuntes

-

Preguntas V O F

He publicado nuevos apuntes de 1º Introducción al Marketing: Preguntas V O F

recopilacion.pdf
preguntas VoF.pdf

He publicado nuevos apuntes de 2º Técnicas Cuantitativas I: TEORIA TECNICAS.pdf

10 páginas

He publicado nuevos ejercicios de 2º Técnicas Cuantitativas I: EJERCICIOS RESUELTOS TEMA 2.pdf

17 páginas

He publicado nuevos ejercicios de 2º Técnicas Cuantitativas I: EJERCICIOS RESUELTOS TEMA 4.pdf

15 páginas

He publicado nuevos examenes de 2º Técnicas Cuantitativas I: 0tci_exafeb2014-patatabrava.pdf

1 página

He publicado nuevos ejercicios de 2º Técnicas Cuantitativas I: EJERCICIOS RESUELTOS TEMA 1.pdf

26 páginas

He publicado nuevos examenes de 3º Econometría: 0exam_examenesanteriores.pdf

80 páginas

He publicado nuevos ejercicios de 2º Técnicas Cuantitativas I: EJERCICIOS RESUELTOS TEMA 3.pdf

12 páginas

He publicado nuevos ejercicios de 2º Técnicas Cuantitativas I: EJERCICIOS REPASO TEMAS 1 Y 2.pdf

8 páginas

He publicado nuevos ejercicios de 2º Técnicas Cuantitativas I: 0temas_5_6_7_problemas-patatabrava.pdf

15 páginas