@mejoresapuntes9

Estudios: Grado en Medicina (ULPGC) ...Mostrar más

66 Publicaciones

518 Interacciones

7 Seguidores

1 Siguiendo

Lista de publicaciones de mejoresapuntes9

He publicado nuevos apuntes de 2º histología de sistemas: CARDIOVASCULAR.pdf

7 páginas

He publicado nuevos apuntes de 2º histología de sistemas: RESPIRATORIO.pdf

4 páginas

He publicado nuevos apuntes de 2º histología de sistemas: NERVIOSO.pdf

6 páginas

He publicado nuevos apuntes de 2º histología de sistemas: SISTEMA-TEGUMENTARIO.pdf

8 páginas

He publicado nuevos apuntes de 2º histología de sistemas: GLANDULA-MAMARIA.pdf

4 páginas

He publicado nuevos apuntes de 2º histología de sistemas: REPRODUCTOR-FEMENINO.pdf

5 páginas

He publicado nuevos apuntes de 2º histología de sistemas: REPRODUCTOR-MASCULINO.pdf

3 páginas

He publicado nuevos apuntes de 2º histología de sistemas: OJO.pdf

4 páginas

He publicado nuevos apuntes de 2º histología de sistemas: SISTEMA-DIGESTIVO.pdf

10 páginas

He publicado nuevos apuntes de 2º histología de sistemas: SISTEMA-ENDOCRINO.pdf

7 páginas

He publicado nuevos apuntes de 2º histología de sistemas: SISTEMA-LINFATICO.pdf

6 páginas

He publicado nuevos apuntes de 1º Genética Humana: PROBLEMAS-DE-GENETICA.pdf

18 páginas

He publicado nuevos apuntes de 1º Genética Humana: TEMA-7.pdf

4 páginas

He publicado nuevos apuntes de 2º Bioestadística y Metodología de la Investigación: 2019-junio.pdf

7 páginas

He publicado nuevos apuntes de 2º Bioestadística y Metodología de la Investigación: 2025-junio.pdf

3 páginas

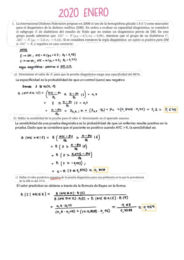
He publicado nuevos apuntes de 2º Bioestadística y Metodología de la Investigación: 2020-enero.pdf

6 páginas

He publicado nuevos apuntes de 2º Bioestadística y Metodología de la Investigación: 2019-enero.pdf

7 páginas

He publicado nuevos apuntes de 2º Bioestadística y Metodología de la Investigación: 2023-enero.pdf

5 páginas

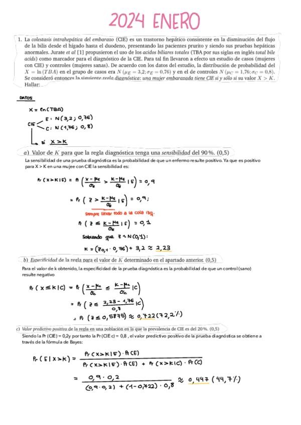
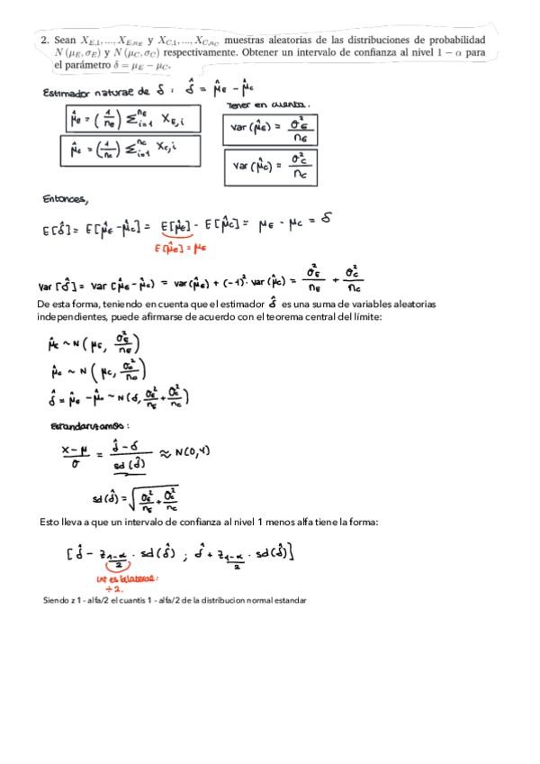
He publicado nuevos apuntes de 2º Bioestadística y Metodología de la Investigación: 2024-enero.pdf

5 páginas

He publicado nuevos apuntes de 2º Bioestadística y Metodología de la Investigación: 2024-noviembre.pdf

5 páginas