@Mencha23

Estudios: Grado en Ciencias Ambientales (UCA) ...Mostrar más

28 Publicaciones

488 Interacciones

2 Seguidores

5 Siguiendo

Lista de publicaciones de Mencha23

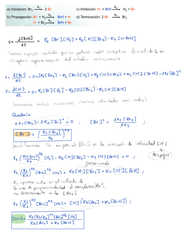
He publicado nuevos practicas de 3º Cambio Global: EPD-2-RESUELTO-Cambio-global.pdf.pdf

3 páginas

He publicado nuevos practicas de 3º Cambio Global: EPD-1 RESUELTO-Cambio-global.pdf.pdf

3 páginas

Las cuatro preguntas de examen junio 25

4 páginas

He publicado nuevos examenes de 2º Bases Químicas del Medio Ambiente: Preguntas-examen-bases-quimicas.pdf

45 páginas

He publicado nuevos examenes de 2º Medio Físico: Preguntas-examen-Hidrogeologia.pdf

7 páginas

He publicado nuevos examenes de 2º Medioambiente Economía y Sociedad: Preguntas-examen-sociedad-2025.pdf

1 página

He publicado nuevos examenes de 2º Medioambiente Economía y Sociedad: Preguntas-examen-sociedad.pdf

10 páginas

He publicado nuevos examenes de 2º Técnicas Instrumentales de Análisis Ambiental: Preguntas-TIAA-tipo-examen.pdf

3 páginas

He publicado nuevos examenes de 2º Ordenación del Territorio, Urbanismo y Medioambiente: Preguntas-resueltas-OTUMA.pdf

24 páginas

He publicado nuevos examenes de 2º Ordenación del Territorio, Urbanismo y Medioambiente: Preguntas-OTUMA.pdf

7 páginas

Con definiciones

14 páginas

He publicado nuevos apuntes de 1º Zoología y Botánica: Zoologia-preguntas-examen.pdf

24 páginas

He publicado nuevos apuntes de 1º Estadística: B.2-probabilidad.pdf

5 páginas

He publicado nuevos apuntes de 1º Estadística: B.1-Estadistica-descriptiva.pdf

8 páginas

test

-

Cuestionarios en R resueltos. Parte teórica y práctica de cada bloque

He publicado nuevos test de 1º Estadística: Cuestionarios en R resueltos. Parte teórica y práctica de cada bloque

Miniatura no disponible
B.3-Test-teorico.Rmd
Miniatura no disponible
B.3-test-practico.Rmd
Miniatura no disponible
B.2-Probabilidad-teoria.Rmd
Miniatura no disponible
B.2-Probabilidad-practica.Rmd
Miniatura no disponible
B.1-test-teorico.Rmd
Miniatura no disponible
B.1-test-practico.Rmd

He publicado nuevos apuntes de 1º Geología: Practica-corregida.pdf

3 páginas

apuntes

-

Física, Apuntes con problemas resueltos

He publicado nuevos apuntes de 1º Física: Física, Apuntes con problemas resueltos

T.8-Energia-de-un-sistema.pdf
T.9-Conservacion-de-la-energia.pdf
T.10-Colisiones.pdf
T.7-Aplicaciones-de-las-leyes-de-Newton.pdf
T.5-Cinematica-en-2D.pdf
T.6-Leyes-del-movimiento.pdf

Ejercicios Teórico-práctico

15 páginas