@mercenario

13 Publicaciones

1.53k Interacciones

0 Seguidores

0 Siguiendo

Lista de publicaciones de mercenario

He publicado nuevos examenes de 2º Análisis de Funciones de Varias Variables: EXAMEN-AFVV-SEGUNDO-PARCIAL-2023.pdf

2 páginas

He publicado nuevos examenes de 2º Análisis de Funciones de Varias Variables: EXAMEN-AFVV-PRIMER-PARCIAL-2023.pdf

2 páginas

He publicado nuevos examenes de 1º Estructuras básicas del álgebra: EXAMEN-ESTRUCTURAS-JUNIO-2022.pdf

5 páginas

He publicado nuevos examenes de 1º Estructuras básicas del álgebra: EXAMEN-RELACIONES-JUNIO-2022.pdf

5 páginas

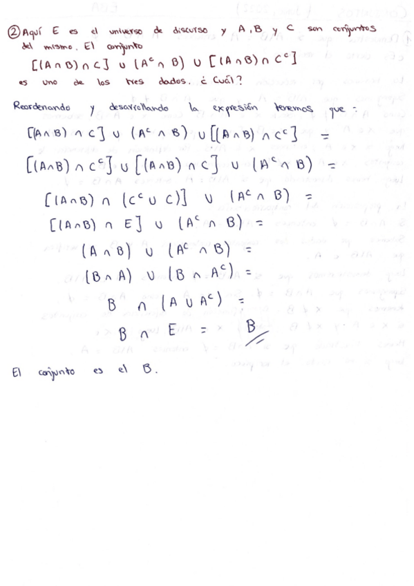
He publicado nuevos examenes de 1º Estructuras básicas del álgebra: EXAMEN-CONJUNTOS-JUNIO-2022.pdf

5 páginas

He publicado nuevos examenes de 1º Informática II: Notebloc8729A049-AC03-4852-83D8-B3BC475EECA1-40683-000009035C4884E5.pdf

2 páginas

He publicado nuevos examenes de 1º Álgebra Lineal: Notebloc974F995A-E250-4EF3-BD10-F808227AE408-35526-000007939550BD50.pdf

5 páginas

He publicado nuevos examenes de 1º Informática II: EJERCICIO-2-EXAMEN-FINAL-INFORMATICA-II-2021.pdf

2 páginas