@mergon_

13 Publicaciones

136 Interacciones

1 Seguidores

0 Siguiendo

Lista de publicaciones de mergon_

He publicado nuevos apuntes de 1º Química Inorgánica: Resumen-de-todos-los-temas.pdf

9 páginas

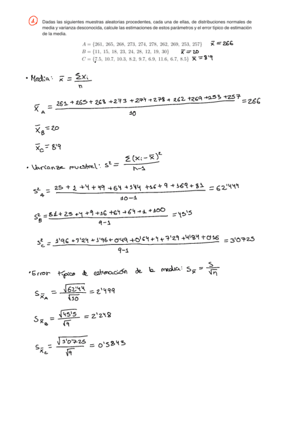
He publicado nuevos ejercicios de 1º Estadística: Ejercicios-inferencia-estadistica.pdf

4 páginas

He publicado nuevos apuntes de 1º Química Inorgánica: Obtenciones-del-hidrogeno.pdf

2 páginas

He publicado nuevos apuntes de 1º Química Inorgánica: Obtenciones-del-oxigeno.pdf

1 página

He publicado nuevos apuntes de 1º Química Inorgánica: Resumen-grupo-14.pdf

3 páginas

He publicado nuevos apuntes de 1º Química Inorgánica: Resumen-grupo-15.pdf

5 páginas

He publicado nuevos apuntes de 1º Química Inorgánica: Resumen-grupo-16.pdf

6 páginas

He publicado nuevos apuntes de 1º Química Inorgánica: Resumen-grupo-halogenos.pdf

6 páginas

He publicado nuevos ejercicios de 1º Estadística: Ejercicios-variables-aleatorias.pdf

16 páginas

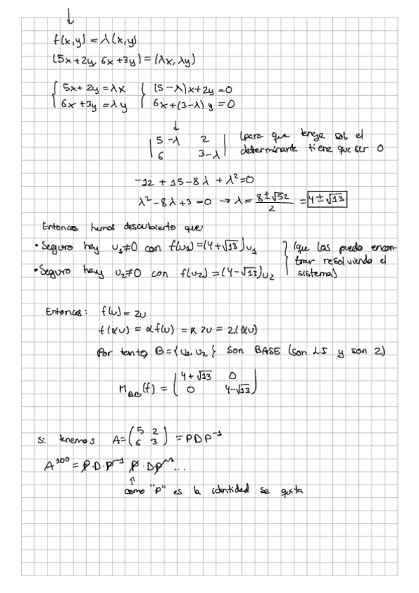
He publicado nuevos apuntes de 1º Álgebra: Tema-diagonalizacion-y-Jordan.pdf

25 páginas

He publicado nuevos apuntes de 1º Álgebra: Tema-aplicaciones-lineales-y-bases.pdf

28 páginas

He publicado nuevos apuntes de 1º Álgebra: Tema-espacios-euclideos.pdf

7 páginas

He publicado nuevos practicas de 1º Física I: Informe-de-practicas-fisica-I-Ley-de-Hooke-y-Arquimedes.pdf

14 páginas