@Meryp01

Estudios: Máster en Física Teórica (UCM) ...Mostrar más

154 Publicaciones

9.78k Interacciones

2 Seguidores

1 Siguiendo

Lista de publicaciones de Meryp01

ejercicios

-

Ejercicios resuletos

He publicado nuevos ejercicios de 4º Partículas elementales: Ejercicios resuletos

Hojas-1-y-2.pdf
Hoja-3.pdf
Hoja-4.pdf
hoja-6.pdf

ejercicios

-

Ejercicios resueltos miguel angel

Clase del profesor Miguel Ángel Martín Delgado

tge1.pdf
tge2.pdf
TGN.pdf
TGN2.pdf
TRE.pdf
tge3.pdf

ejercicios

-

Ejercicios 2022-2023

He publicado nuevos ejercicios de 4º Mecánica Teorica: Ejercicios 2022-2023

ejs1.pdf
hoja-2.pdf
tema-3.pdf

apuntes

-

Grupos de Lie y Rotaciones 2022

He publicado nuevos apuntes de 4º Simetrías y Grupos en Física: Grupos de Lie y Rotaciones 2022

Parte-1.pdf
Parte-2.pdf
parte-3.pdf
SO3-y-SU2.pdf

apuntes

-

Entregables 2022

He publicado nuevos apuntes de 4º Simetrías y Grupos en Física: Entregables 2022

Entregable1.pdf
entregable2.pdf

examenes

-

Parciales resueltos

Hay una errata en el ejercicio 3 del parcial de 2020. En el resultado final sobran los exponenciales.

parcial-2021.pdf
parcial-2020.pdf

ejercicios

-

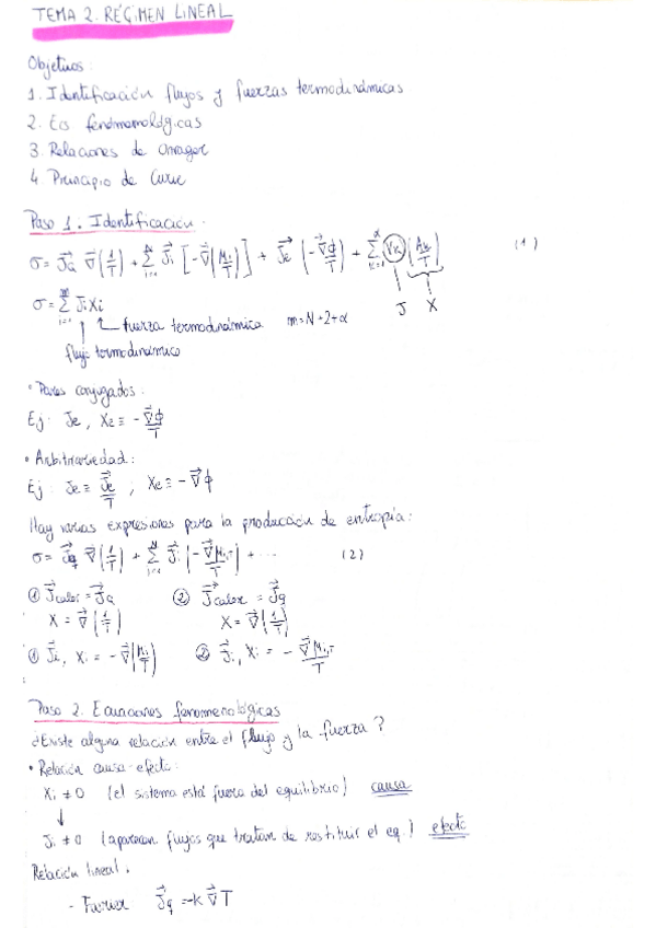
Ejercicios resueltos y apuntes completos

He publicado nuevos ejercicios de 3º Termodinámica del No Equilibrio: Ejercicios resueltos y apuntes completos

Tema-1.pdf
Ejercicios-Tema-1.pdf
Tema-2.pdf
Ejercicios-tema-2.pdf
Tema-3.pdf
Tema-4.pdf

examenes

-

EXAMENES RESUELTOS

He publicado nuevos examenes de 3º Termodinámica del No Equilibrio: EXAMENES RESUELTOS

JunioJulio-2021.pdf
Junio-2020.pdf

ejercicios

-

Ejercicios resueltos y extras 2022

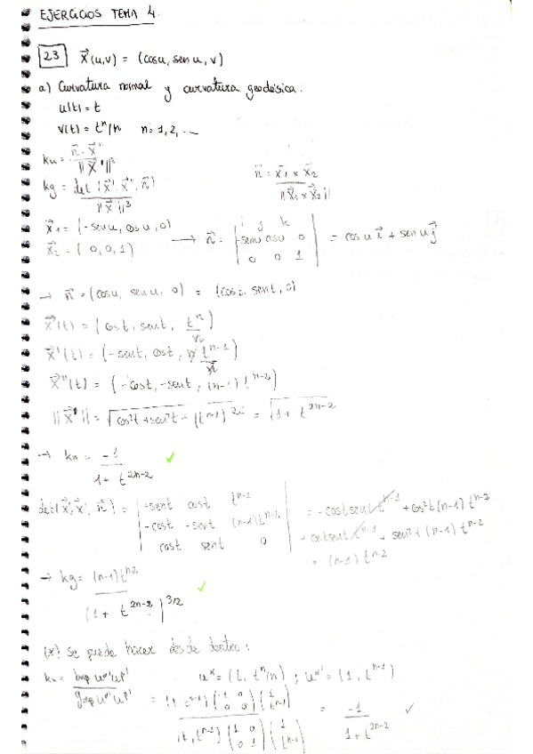
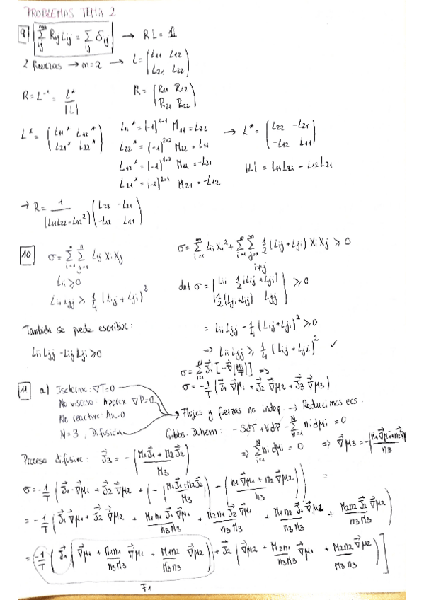
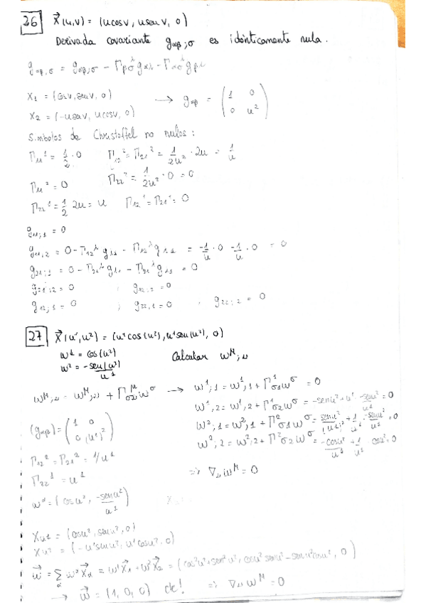
He publicado nuevos ejercicios de 3º Geometría Diferencial y Cálculo Tensorial: Ejercicios resueltos y extras 2022

Tema1.pdf
Tema-2.pdf
tema4.pdf
tema5.pdf
tema3.pdf

ejercicios

-

APUNTES y EJERCICIOS RESUELTOS

He publicado nuevos ejercicios de 2º Óptica: APUNTES y EJERCICIOS RESUELTOS

Apuntes-tema1.pdf
ejs-y-test-1.pdf
ejs-y-test2.pdf
Apuntes-tema2.pdf
Resumen-1-4.pdf
Tema-4.pdf