@Metho_Ad1kt0

50 Publicaciones

125 Interacciones

2 Seguidores

3 Siguiendo

Lista de publicaciones de Metho_Ad1kt0

apuntes

-

EJERCICIOS-MATEMÁTICAS

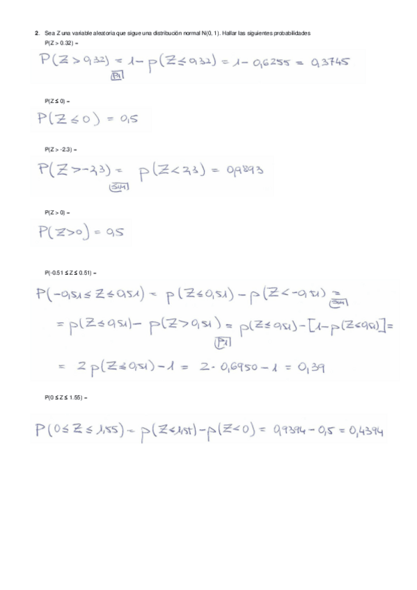
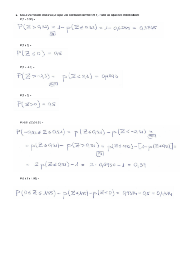
He publicado nuevos apuntes de 2º Matemáticas II: EJERCICIOS-MATEMÁTICAS

DISTRIBUCIONES-NORMAL-Y-BINOMIALEJERCICIO2.pdf
DISTRIBUCIONES-NORMAL-Y-BINOMIALParte-3.pdf
EJERCICIOS-DE-FUNCIONES-DERIVABLES.pdf
EJERCICIOS-DE-GEOMETRIA2022EVAU.pdf
Ejercicios-de-optimizacionEJERCICIO4.pdf
Ejercicios-de-optimizacionEJERCICIO5.pdf

BLOQUE 4: Probabilidad

4 páginas

BLOQUE 2: Análisis

7 páginas

BLOQUE 2: Análisis

6 páginas

BLOQUE 2: Análisis

5 páginas

BLOQUE 2: Análisis

4 páginas

BLOQUE 2: Análisis

5 páginas

BLOQUE 3: Geometría

4 páginas

BLOQUE 3: Geometría

5 páginas

BLOQUE 3: Geometría

6 páginas

BLOQUE 3: Geometría

3 páginas

BLOQUE 3: Geometría

11 páginas

He publicado nuevos apuntes de 1º Fundamentos Matemáticos: Unidad-3Sistemas-de-ecuacionesEjercicios10-14.pdf

5 páginas