@Mfarma03

Estudios: Grado en Farmacia (UCM) ...Mostrar más

Bio: Carrera de Farmacia en la Universidad Complutense terminada.

576 Publicaciones

22.67k Interacciones

11 Seguidores

0 Siguiendo

Lista de publicaciones de Mfarma03

examenes

-

EXÁMENES FARMACOLOGÍA GENERAL

He publicado nuevos examenes de 3º Farmacología General: EXÁMENES FARMACOLOGÍA GENERAL

Preguntas-cortas-farmacologia.png
Preguntas-cortas-farma.png

examenes

-

EXÁMENES FARMACOLOGÍA GENERAL

He publicado nuevos examenes de 3º Farmacología General: EXÁMENES FARMACOLOGÍA GENERAL

Preguntas-cortas-farmacologia.pdf
Preguntas-cortas-farma.pdf
Preguntas-cortas-farmacologia-1-.pdf
EXAMEN-FINAL-FARMACOLOGIA-2017-2o-PARCIAL.docx
EXAMEN-FINAL-FARMACOLOGIA-2017-2o-PARCIAL.pdf
EXAMEN-PARCIAL-2017.pdf

He publicado nuevos apuntes de 5º Practicas Tuteladas: ROTACIONES-HOSPITAL-12-DE-OCTUBRE.pdf

1 página

Casos prácticos resueltos

19 páginas

He publicado nuevos examenes de 5º Toxicología: EXAMEN FINAL TOXI ALIMENTARIA 2019.pdf

3 páginas

He publicado nuevos examenes de 5º Atención Farmacéutica: EXAMEN FINAL ATENCIÓN FARMACÉUTICA 2019.pdf

1 página

He publicado nuevos examenes de 5º Toxicología: EXAMEN FINAL TOXICOLOGÍA AMBIENTA 2019.pdf

2 páginas

He publicado nuevos examenes de 5º Toxicología: EXAMEN FINAL TOXI ALIMENTARIA 2019.pdf

3 páginas

He publicado nuevos examenes de 5º Salud Pública: EXAMEN 2º PARCIAL SALUD PÚBLICA.pdf

1 página

He publicado nuevos examenes de 5º Tecnología Farmacéutica III: EXAMEN 2º PARCIAL TECNOLOGÍA FARMACÉUTICA 3.pdf

1 página

He publicado nuevos examenes de 5º Tecnología Farmacéutica III: EXAMEN PRÁCTICAS TECNO III 2018.pdf

1 página

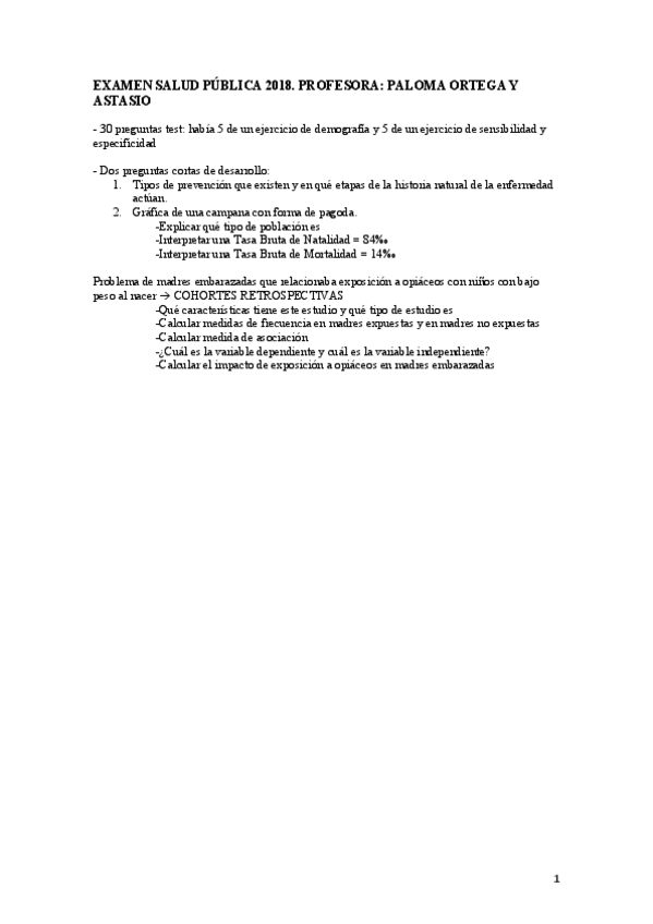
He publicado nuevos examenes de 5º Salud Pública: EXAMEN PARCIAL SALUD PÚBLICA 2018.pdf

1 página

He publicado nuevos examenes de 5º Atención Farmacéutica: PARCIAL ATENCIÓN FARMACÉUTICA 2018.pdf

1 página

He publicado nuevos examenes de 5º Tecnología Farmacéutica III: EXAMEN PARCIAL TECNOLOGÍA FARMACÉUTICA.pdf

1 página

apuntes

-

APUNTES PRODUCTOS DIETÉTICOS 2018 GRUPO A

Apuntes completados con diapositivas de cada tema

TEMA 13. ANTIOXIDANTE.pdf
TEMA 14. MINERALES.pdf
TEMA 15. NUEVOS ALIMENTOS. OMGs.pdf

apuntes

-

APUNTES PRODUCTOS DIETÉTICOS GRUPO A 2018

Apuntes completados con diapositivas de cada tema

TEMA 2. ALIMENTOS INFANTILES.pdf
TEMA 3. ALIMENTOS INFANTILES A BASE DE CEREALES. ALIMENTSO INFANTILES HOMOGENEIZADOS.pdf
TEMA 4. ALIMENTOS PARA USOS MÉDICOS ESPECIALES.pdf
TEMA 5. SUSTITUTIVOS DE DIETA PARA EL CONTROL DE PESO.pdf
TEMA 6. ALIMENTOS SIN GLUTEN. ALIMENTOS SIN LACTOSA.pdf
TEMA 7. COMPLEMENTOS ALIMENTICIOS.pdf

apuntes

-

APUNTES PRODUCTOS DIETÉTICOS 2018 GRUPO A

Apuntes completados con diapositivas de cada tema

TEMA 10. PREBIÓTICOS Y PROBIÓTICOS .pdf
TEMA 11. LÍPIDOS BIOACTIVOS- ÁCIDOS GRASOS INSATURADOS.pdf
TEMA 12. PÉPTIDOS.pdf

apuntes

-

APUNTES 2º PARCIAL MICROBIOLOGÍA CLÍNICA. TEMAS 14-20

Apuntes completados con las diapositivas de cada tema

TEMA 14. INFECCIONES DEL TRACTO RESPIRATORIO SUPERIOR (TRS) Y REGIONES ANEJAS.pdf
TEMA 15. INFECCIONES DEL TRACTO RESPIRATORIO INFERIOR.pdf
TEMA 16. OTRAS INFECCIONES DEL TRACTO RESPIRATORIO INFERIOR.pdf
TEMA 17. INFECCIONES DEL SNC.pdf
TEMA 18. INFECCIONES SISTÉMICAS BACTERIANAS.pdf
TEMA 19. INFECCIONES SISTÉMICAS VÍRICAS.pdf

apuntes

-

APUNTES 1º PARCIAL MICROBIOLOGÍA CLÍNICA

Apuntes completados con las diapositivas de cada tema

TEMA 1. INTRODUCCIÓN.pdf
TEMA 2. COLONIZACIÓN- INFECCIÓN Y ENFERMEDAD INFECCIOSA.pdf
TEMA 3. EPIDEMIOLOGÍA Y CONTROL DE ENFERMEDADES INFECCIOSAS.pdf
TEMA 4. Diagnóstico de laboratorio de las enfermedades infecciosas. Organización del laboratorio. Planteamiento del diagnóstico de laboratorio. Gestión de la calidad y bioseguridad. Diagnóstico microbiológico y serológico.pdf
TEMA 5. MÉTODOS DE IDENTIFICACIÓN DE MICROORGANISMO. MÉTODOS CLÁSTICOS- CULTIVO DE BACTERIAS, HONGOS Y VIRUS.pdf
TEMA 6. MEDIDA DE LA RESPUESTA A LA INFECCIÓN. DIAGNÓSTICO SEROLÓGICO .pdf