@mfcranz

3 Publicaciones

64 Interacciones

0 Seguidores

0 Siguiendo

Lista de publicaciones de mfcranz

He publicado nuevos apuntes de 2º Ampliación de Cálculo: T4-Resolución EDTs.pdf

2 páginas

He publicado nuevos apuntes de 2º Ampliación de Cálculo: T2-Resolución EDOs.pdf

2 páginas

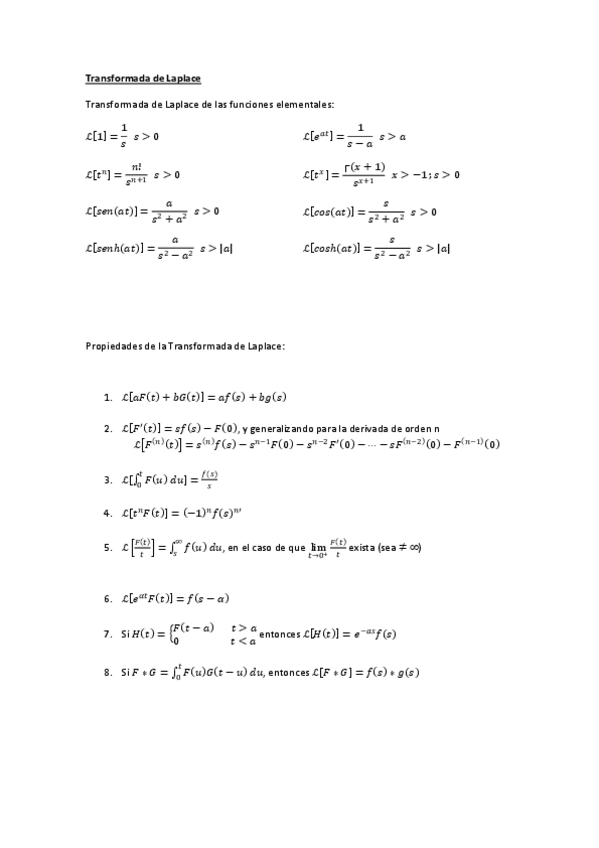
He publicado nuevos apuntes de 2º Ampliación de Cálculo: T1-Transformada de Laplace.pdf

1 página