@miaaahshii

Bio: estudiante de bachillerato, media de 9,8

18 Publicaciones

80 Interacciones

1 Seguidores

1 Siguiendo

Lista de publicaciones de miaaahshii

teoría del conocimiento, la ética

4 páginas

la duda metódica, cogito ergo sum

3 páginas

razón y fe, la demostración de la existencia de dios

2 páginas

He publicado nuevos apuntes de Matemáticas aplicadas a las Ciencias Sociales II: EJERCICIOS-RESUELTOS-MATRICES.pdf

2 páginas

He publicado nuevos apuntes de Matemáticas aplicadas a las Ciencias Sociales II: MATRICES-TEORIA.pdf

4 páginas

He publicado nuevos apuntes de Economía de la Empresa: EL-EMPRESARIO.pdf

4 páginas

la prosa, pio baroja, azorín, unamuno, prosa ensayística

4 páginas

He publicado nuevos apuntes de Lengua Castellana y Literatura II: MODERNIMO-RUBEN-DARIO-Y-VALLE-INCLAN.pdf

3 páginas

definición y características, la novela realista, el estilo

2 páginas

He publicado nuevos apuntes de Lengua Castellana y Literatura II: VARIEDADES-SOCIOCULTURALES-Y-SITUACIONALES-DEL-ESPANOL.pdf

2 páginas

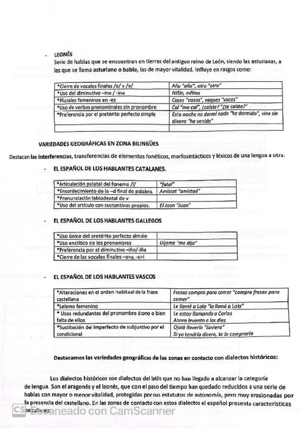
He publicado nuevos apuntes de Lengua Castellana y Literatura II: VARIEDADES-GEOGRAFICAS-DEL-ESPANOL.pdf

5 páginas

origen de las palabras, formación y significado

4 páginas

ejercicio

1 página

macizos, cordilleras, montañas, sistemas, mapas, conceptos, picos

6 páginas

historia geológica de españa, mapas, variedad litológica, 17 conceptos, mapa de España por provincias

7 páginas

naturaleza, hilemorfismo, teleología, ética y política, la virtud, el alma.

5 páginas

teoría de las ideas, de la realidad y del conocimiento, el alma y el cuerpo, virtud y felicidad, la ciudad justa: platón

5 páginas

He publicado nuevos apuntes de Historia de la Filosofía: ORIGEN-DE-LA-FILOSOFIA.pdf

2 páginas