@MiguelA_

17 Publicaciones

526 Interacciones

0 Seguidores

0 Siguiendo

Lista de publicaciones de MiguelA_

He publicado nuevos apuntes de 3º Procesos de Fabricación: Problemas mecanizado resueltos.pdf

pdf

He publicado nuevos apuntes de 3º Acondicionamiento y Conversión de Señales: RESUMEN TEORIA.docx

word

He publicado nuevos apuntes de 3º Procesos de Fabricación: Problemas tema 8 deformacion.pdf

1 página

He publicado nuevos apuntes de 3º Procesos de Fabricación: RESUMEN TEMA 10.pdf

4 páginas

He publicado nuevos apuntes de 4º Procesado Digital de Señales: RESUMEN TEORIA.pdf

9 páginas

He publicado nuevos apuntes de 3º Procesos de Fabricación: Problemas moldeo convencional.pdf

pdf

He publicado nuevos apuntes de 3º Procesos de Fabricación: Problemas mecanizado resueltos II.pdf

pdf

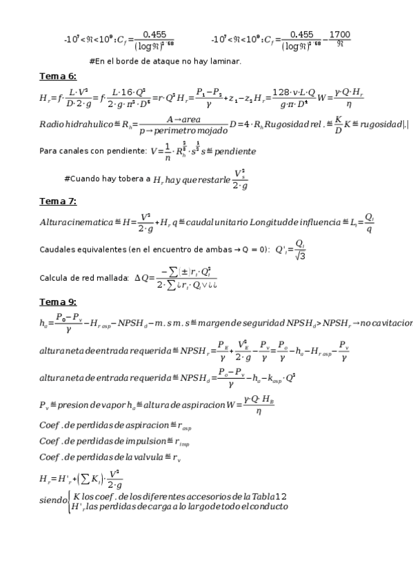
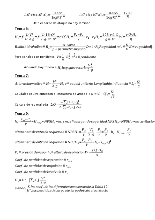
He publicado nuevos apuntes de 3º Ingeniería Fluidomecánica: Formulas.docx

word

He publicado nuevos apuntes de 3º Procesos de Fabricación: test teori_a procesos respondida.docx

word

He publicado nuevos apuntes de 3º Procesos de Fabricación: Cuestionario.pdf

6 páginas

He publicado nuevos apuntes de 3º Electrónica de Potencia: FORMULAS 2º PARCIAL.docx

word

He publicado nuevos apuntes de 3º Procesos de Fabricación: tipos de moldeo.docx

word

He publicado nuevos apuntes de 3º Instrumentación Electrónica: resumen.pdf

8 páginas

He publicado nuevos apuntes de 3º Ingeniería Fluidomecánica: tabla CD.docx

word

He publicado nuevos apuntes de 4º Máquinas Eléctricas. Control y Protecciones: APUNTES MAQUINAS ELECTRICAS - TEORIA + PROBLEMAS.pdf

32 páginas

He publicado nuevos apuntes de 3º Proyectos I: PREGUNTAS EXAMENES.docx

word

He publicado nuevos apuntes de 4º Máquinas Eléctricas. Control y Protecciones: APUNTES MAQUINAS ELECTRICAS - TEORIA + PROBLEMAS.pdf

32 páginas