@MikelRD

7 Publicaciones

357 Interacciones

1 Seguidores

0 Siguiendo

Lista de publicaciones de MikelRD

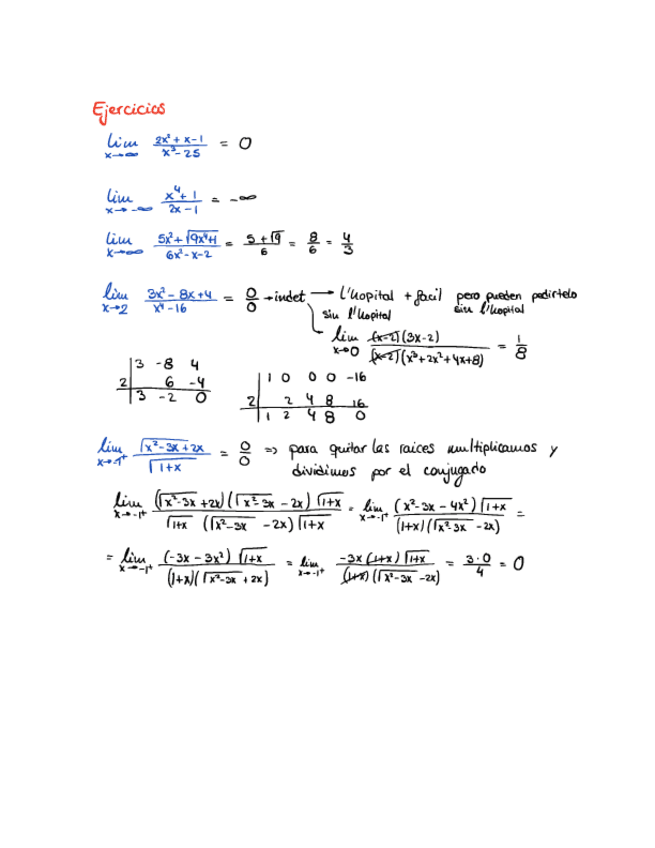
He publicado nuevos ejercicios de 1º Cálculo II: Nota-6-abr-2021.pdf

16 páginas

He publicado nuevos ejercicios de 1º Física II: Clase-presencial-repaso-1er-parcial.pdf

37 páginas

He publicado nuevos ejercicios de 1º Álgebra Lineal y Ecuaciones Diferenciales: Parcial-2-Intensivo.pdf

28 páginas

He publicado nuevos ejercicios de 1º Álgebra Lineal y Ecuaciones Diferenciales: Parcial-1-intensivo.pdf

32 páginas

He publicado nuevos ejercicios de 1º Cálculo I: Intensivo.pdf

96 páginas

apuntes

-

Apuntes y Ejercicios Tema 1 y 2

He publicado nuevos apuntes de 2º Ciencia de los Materiales: Apuntes y Ejercicios Tema 1 y 2

Tema-2.pdf
Tema-1.pdf