@Mikitarian

8 Publicaciones

227 Interacciones

1 Seguidores

0 Siguiendo

Lista de publicaciones de Mikitarian

He publicado nuevos apuntes de 1º Apuntes Variados: APUNTS-CIE-II-COMUNICACIO.pdf

6 páginas

He publicado nuevos apuntes de 2º Didàctica i Desenvolupament Curricular: Didactica-i-Desenvolupament-curricular-APUNTS-TOTA-ASSIGNATURA.pdf

10 páginas

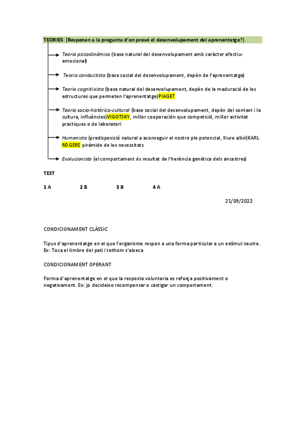
He publicado nuevos apuntes de 2º Aprenentatge i Desenvolupament I: TEORIES-SOBRE-EL-DESENVOLUPAMENT-PSICOLOGIC.pdf

4 páginas

He publicado nuevos apuntes de 2º Aprenentatge i Desenvolupament I: SEGON-BLOC2-DESENVOLUPAMENT-EMOCIONAL-I-SOCIAL.pdf

6 páginas

TASCA 1 MIREM EL MÓN POLÍTICA, LA DEMOCRÀCIA ESTÀ EN PERILL LA TEMPTACIÓ DEL AUTORITARISME

2 páginas

He publicado nuevos apuntes de 2º Context Social i Gestió Escolar: BLOC-1.pdf

4 páginas

He publicado nuevos apuntes de 2º Educació Musical i Visual: PERCEPCIO-BOSC.pdf

7 páginas

He publicado nuevos apuntes de 2º Context Social i Gestió Escolar: BLOC-2-GESTIO-ESCOLAR.pdf

9 páginas