@mim12345

Bio: :)

131 Publicaciones

1.89k Interacciones

3 Seguidores

2 Siguiendo

Lista de publicaciones de mim12345

He publicado nuevos apuntes de 1º Matemáticas II: Junio-2017-Mates-II.jpg

Imagen

He publicado nuevos apuntes de 1º Matemáticas II: Examen-Septiembre-2016-Mates-II.jpg

Imagen

He publicado nuevos apuntes de 1º Matemáticas II: Parcial-Mates-II-2018.jpg

Imagen

He publicado nuevos apuntes de 1º Matemáticas II: Teoria-parcial-2018-Mates-II.jpg

Imagen

He publicado nuevos apuntes de 1º Matemáticas II: tablas-simplex.pdf

4 páginas

He publicado nuevos apuntes de 1º Microeconomía I: Tema-5.pdf

35 páginas

apuntes

-

OGI Apuntes

He publicado nuevos apuntes de 2º Organización y Gestión Interna: OGI Apuntes

TEMA-1.pdf
TEMA-2.pdf
TEMA-2.pdf

He publicado nuevos apuntes de 1º Introducción al Derecho: INTRODUCCION-AL-DERECHO.odt

word

He publicado nuevos apuntes de 1º Estadística I: Examen-I.xlsx

excel

apuntes

-

Excel

He publicado nuevos apuntes de 1º Estadística I: Excel

Ayuda-graficos-excel.pdf
Ayudaparagraficos-con-Excel.pdf

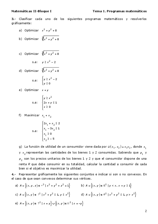
He publicado nuevos apuntes de 1º Matemáticas II: Ejercicios-Mates-II-Optimizacion.pdf

17 páginas

apuntes

-

Marketing

He publicado nuevos apuntes de 1º Introducción al Marketing: Marketing

Introduccion-al-Marketing-2017-18-MIM.pdf
Tema-3version-alumnos.pdf

apuntes

-

INTRODUCCIÓN AL DERECHO TEMAS 1-10

He publicado nuevos apuntes de 1º Introducción al Derecho: INTRODUCCIÓN AL DERECHO TEMAS 1-10

INTRODUCCIÓN AL DERECHO.odt
Resumen Temario Completo.pdf
Tema-3-Derecho-de-obligaciones.pdf
tarea-1-derecho.odt

He publicado nuevos apuntes de 1º Contabilidad Financiera I: PROGRAMA-de-Conta-I-1718.pdf

6 páginas

He publicado nuevos apuntes de 1º Estadística I: Ejemplo-examen-excel.xlsx

excel

He publicado nuevos apuntes de 1º Matemáticas II: EJERCICIOS SIMPLEX DE EXAMEN.pdf

41 páginas

apuntes

-

Números Indice

He publicado nuevos apuntes de 1º Estadística I: Números Indice

Ejercicios examenes índice.pdf
Ejemplos de índices complejos.pdf
Ejemplos de índices simples.pdf

apuntes

-

Ejercicios de Microeconomía

con solucion

Prácticas Tema 5 (resueltas)-1-9.pdf
Prácticas Tema 1.pdf
Prácticas Tema 3.pdf
Prácticas Tema 5.pdf
Prácticas Tema 4.pdf
Prácticas Tema 7.pdf

apuntes

-

Problemas Estadística I

He publicado nuevos apuntes de 1º Estadística I: Problemas Estadística I

Problemas Tema 3.pdf
Problemas Tema 2.pdf
Problemas Tema 4.pdf

apuntes

-

CONTABILIDAD I

He publicado nuevos apuntes de 1º Contabilidad Financiera I: CONTABILIDAD I

01 Sistemas de Información.pdf
04 Inmovilizado.pdf
02 cuentas anuales.pdf
03 Ciclo Contable.pdf