@minipeka

Estudios: Grado en Física (UEV) ...Mostrar más

42 Publicaciones

155 Interacciones

1 Seguidores

1 Siguiendo

Lista de publicaciones de minipeka

Formulario temas 3 y 4

2 páginas

Simulacro de examen final - Piel y Organos

9 páginas

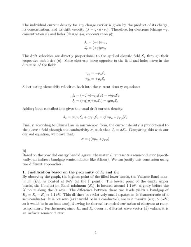
Tema 3 apuntes de electronica física en ingles

19 páginas

Ejercicios del Tema 2 de cuántica (Boletin 1 pero tema 2) en inglés.

18 páginas

Integrales y resultados de diferentes geometrias y su campo

1 página

Enunciados de los ejemplos puestos en clase para practicar sin la solución (Soluciones en la teoria)

2 páginas

Simulacro de examen Biomol con respuestas al final del documento

11 páginas

He publicado nuevos examenes de 3º Electrónica Física: Parcial1-Electronica.pdf

7 páginas

Ejercicios Boletín 2 (Chapter 3-Problem statements) menos 3.6 y 3.7

9 páginas

Formulario primer parcial electromagnetismo II

5 páginas

Apuntes complementarios + Def. de examen - Steady State

4 páginas

He publicado nuevos ejercicios de 3º Electrónica Física: B2-Electronica.pdf

12 páginas

He publicado nuevos apuntes de 3º Electrónica Física: Electronica-T2.pdf

17 páginas

Ejercicios del B1 resueltos (menos el 1)

7 páginas

Formulario primer parcial T0,1,2

5 páginas

Tema 1 Modelo Cosmológico Estandar Lo subo aquí porque no existe la titulación en astro

4 páginas

Apuntes del tema 1 en formato presentación basado en las pizarras de clase

37 páginas

Resumen para resolver EDPs

3 páginas

Guia de resolución de EDOs de 2o orden no Homogeneas para el final

3 páginas

Resumen de formulas

4 páginas