@mireiabelinchon

Estudios: Grado en Matemáticas (UV) ...Mostrar más

Bio: Estudiant de matemàtiques a la Universitat de València.

93 Publicaciones

131 Interacciones

2 Seguidores

0 Siguiendo

Lista de publicaciones de mireiabelinchon

Exercicis resolts del recull de qüestions d'Àlgebra lineal de primer de matemàtiques. Temes 2, 3 (Espais vectorials, aplicacions lineals)

9 páginas

Definiciones de Historia de la Filosofía. T5: Corrientes helenísticas (Epicúreos, estoicos....)

8 páginas

Ejercicios de trigonometría Matemáticas I (Ciencias). Todo lo que hay que saber hacer de trigonometría. CON SOLUCIONES

1 página

Ejercicios de trigonometría (ECUACIONES TRIGONOMÉTRICAS Y DEMOSTRACIÓN DE IGUALDADES) de 1º Bachiller de Ciencias. CON SOLUCIONES.

1 página

Resumen matemáticas I: trigonometría, vectores, rectas, límites.

4 páginas

Apuntes historiad e españa 2º bach: TRANSICIÓN Y DEMOCRACIA (1975-actualidad)

10 páginas

Apuntes historia de españa 2º BACH: LA DICTADURA FRANQUISTA (1939-1975)

19 páginas

Apuntes historia de España: LA GUERRA CIVIL (1936-1939)

12 páginas

Apuntes historia de España T7: LA SEGUNDA REPÚBLICA (1931-1936)

14 páginas

Apuntes HISTORIA DE ESPAÑA T6: Economía y sociedad del 1º tercio del siglo XX

8 páginas

APUNTES de la Restauración Borbónica (1874-1931). Historia de España de 2º de Bachiller.

22 páginas

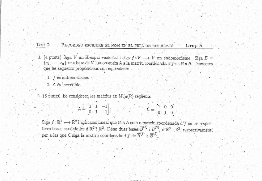
Este és el segon control (amb la correcció) dels temes 3, 4, 5 (Aplicacions lineals, Rang i equivalència de matrius, Determinants) d'àlgebra lineal i geometria de 1er de matemàtiques en valencià dl curs 2025-2026.

5 páginas

He publicado nuevos apuntes de 1º Informática: viatge2.cpp

Miniatura no disponible

He publicado nuevos apuntes de 1º Informática: viatge.cpp

Miniatura no disponible

He publicado nuevos apuntes de 1º Informática: llevaiva.cpp

Miniatura no disponible

He publicado nuevos apuntes de 1º Informática: iva.cpp

Miniatura no disponible

He publicado nuevos apuntes de 1º Informática: cercle.cpp

Miniatura no disponible

He publicado nuevos apuntes de 1º Informática: canvi.cpp

Miniatura no disponible

apuntes

-

RESUMENS

Taules resumen dels continguts sobre comentaris de text, fonètica, literatura...

TEXTOS-1.pdf
FONETICA-2.pdf
valen-tabla-3.pdf