@miriamdelgado

11 Publicaciones

250 Interacciones

0 Seguidores

0 Siguiendo

Lista de publicaciones de miriamdelgado

He publicado nuevos apuntes de 1º Medicina Legal y Forense I: Medicina-legal.pdf

27 páginas

He publicado nuevos apuntes de 4º Políticas Públicas de Seguridad y su Evaluación: Temario-politicas-publicas.pdf

16 páginas

He publicado nuevos apuntes de 4º MEDIACIÓN Y CONCILIACIÓN: Temario-mediacion.docx

word

apuntes

-

Intervención y reinserción social

He publicado nuevos apuntes de 3º Intervención y Reinserción Social: Intervención y reinserción social

Tema-3.pdf
T2.docx
Tema-3.pdf
Tema-1.docx

He publicado nuevos apuntes de 3º Derecho Penitenciario: Temario-penitenciario.pdf

68 páginas

He publicado nuevos apuntes de 2º Derecho Penal II: Temario-derecho-penal-II.pdf

62 páginas

He publicado nuevos apuntes de 4º Policía Científica I: Policia-cientifica-temario.pdf

42 páginas

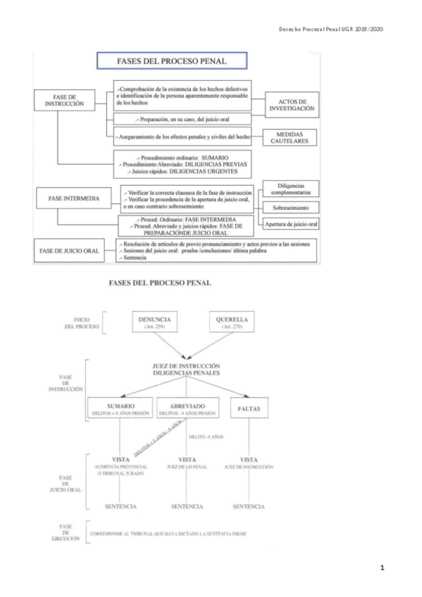
He publicado nuevos apuntes de 3º Derecho Procesal Penal: Procesal-penal.pdf

58 páginas