@MJgm97

310 Publicaciones

3.28k Interacciones

2 Seguidores

0 Siguiendo

Lista de publicaciones de MJgm97

apuntes

-

Problemas

He publicado nuevos apuntes de 4º Genética Humana: Problemas

sesion-1-y-2-problemas.pdf

He publicado nuevos apuntes de 4º Genética Humana: Tema-1.pdf

5 páginas

He publicado nuevos examenes de 4º Microbiología Aplicada: PARCIAL-1-MICROBIOLOGIA.pdf

1 página

He publicado nuevos examenes de 4º Parasitología: PARCIAL-1-DE-PARASITOLOGIA.pdf

1 página

Explicadas y con capturas del programa

word

Resultados del programa y explicacion

2 páginas

2

2 páginas

tratamiento y complicaciones

1 página

modelo examen tema 2

1 página

Practica 1 ordenadores

6 páginas

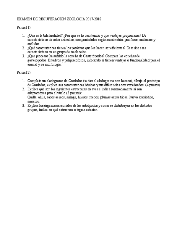
Recuperación zoologia

1 página

He publicado nuevos examenes de 2º Biodiversidad y Conservación de Espermatófitos: botanica2.pdf

1 página

He publicado nuevos examenes de 2º Zoología: zoo2.pdf

1 página

He publicado nuevos apuntes de 2º Bioquímica II: Metabolismo: bq2.pdf

1 página

practicas

-

Practica estudio de la expresion genica (teoria y preguntas resueltas)

He publicado nuevos practicas de 2º Genética II: De la secuencia a la función: Practica estudio de la expresion genica (teoria y preguntas resueltas)

IMG_6643.JPG
IMG_6644.JPG
IMG_6645.JPG

apuntes

-

Problemas de metabolismo resueltos por Leticia

He publicado nuevos apuntes de 2º Bioquímica II: Metabolismo: Problemas de metabolismo resueltos por Leticia

IMG_6626.JPG
IMG_6627.JPG
IMG_6628.JPG
IMG_6629.JPG
IMG_6630.JPG

practicas

-

Practicas angiospermas

He publicado nuevos practicas de 2º Biodiversidad y Conservación de Espermatófitos: Practicas angiospermas

IMG_6591.JPG
IMG_6592.JPG
IMG_6593.JPG
IMG_6594.JPG
IMG_6595.JPG
IMG_6596.JPG

He publicado nuevos examenes de 2º Biodiversidad y Conservación de Espermatófitos: parcial 2.pdf

1 página

He publicado nuevos examenes de 2º Histología Vegetal y Animal: parcial 3 histologia.pdf

1 página

He publicado nuevos examenes de 2º Genética II: De la secuencia a la función: examen genetica.pdf

1 página