@MonOli

25 Publicaciones

1.22k Interacciones

3 Seguidores

2 Siguiendo

Lista de publicaciones de MonOli

P1 YP2

2 páginas

He publicado nuevos ejercicios de 3º Estructuras Aeronáuticas: ATE_GITI_17-18_Probl_Pandeo.pdf

30 páginas

He publicado nuevos apuntes de 3º Estructuras Aeronáuticas: ATE_GITI_17-18_Probl_Pandeo.pdf

30 páginas

He publicado nuevos ejercicios de 3º Estructuras Aeronáuticas: ATE_GITI_17-18_Probl_Dinamica (1).pdf

19 páginas

He publicado nuevos examenes de 3º Ampliación de Elasticidad y Resistencia de Materiales: NuevoDocumento 2018-04-23.pdf

17 páginas

He publicado nuevos ejercicios de 2º Elasticidad y Resistencia de Materiales: NuevoDocumento 2018-04-23.pdf

17 páginas

He publicado nuevos ejercicios de 3º Ampliación de Elasticidad y Resistencia de Materiales: NuevoDocumento 2018-04-23.pdf

17 páginas

He publicado nuevos apuntes de 3º Tecnología de Materiales: NuevoDocumento 2018-04-21.pdf

3 páginas

He publicado nuevos apuntes de 2º Elasticidad y Resistencia de Materiales: Recopilacion Primer Parcial.pdf

40 páginas

He publicado nuevos apuntes de 2º Elasticidad y Resistencia de Materiales: Recopilacion Primer Parcial.pdf

40 páginas

He publicado nuevos examenes de 2º Elasticidad y Resistencia de Materiales: Recopilacion Primer Parcial.pdf

40 páginas

He publicado nuevos examenes de 3º Ampliación de Elasticidad y Resistencia de Materiales: Recopilacion Primer Parcial.pdf

40 páginas

He publicado nuevos apuntes de 1º Elasticidad: Recopilacion Primer Parcial.pdf

40 páginas

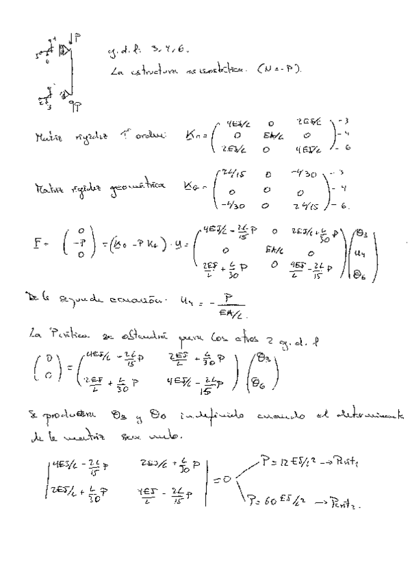
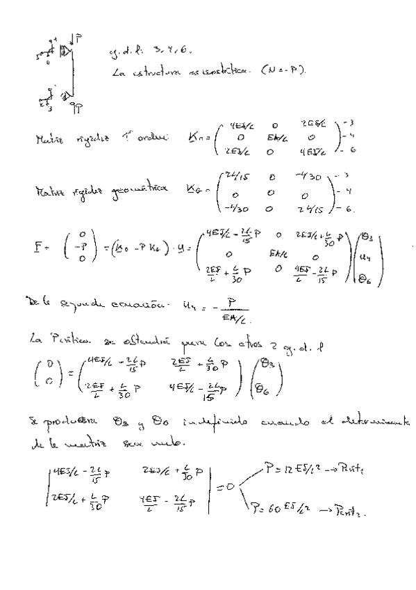
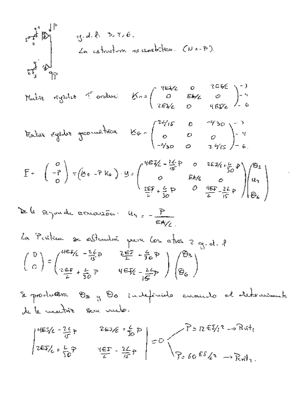
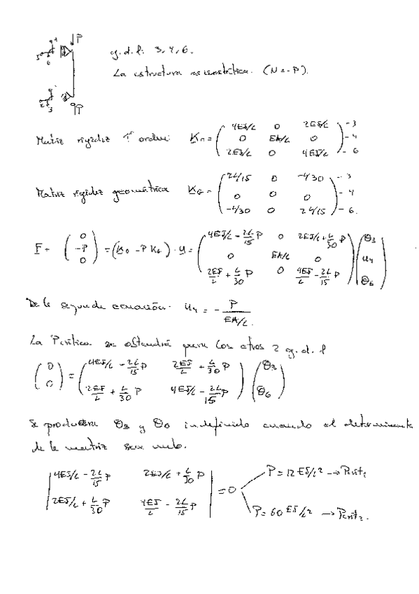
He publicado nuevos apuntes de 3º Teoria de Estructuras: prontuario matricial.xlsx

excel

apuntes

-

Resumen Claros para estudiar ORDENADOR

He publicado nuevos apuntes de 3º Tecnología de Fabricación: Resumen Claros para estudiar ORDENADOR

Tema 1 Metrología Dimensional.pdf
TEMA 2 Fundamentos de Fundición de Metales.pdf
TEMA 3 Procesos de Fundicion de metales.pdf

apuntes

-

Resumen Engranajes Claro y Conciso

He publicado nuevos apuntes de 2º Teoría de Máquinas y Mecanismos: Resumen Engranajes Claro y Conciso

Engranajes.pdf
Engranajes.pdf

Resumen a partir de las diapositivas. Lo justo y necesario

11 páginas

Sin Resolver Muy útil para Estudiar

13 páginas