@montaditogitano

Bio: montadito gitano pues me la agarras con la mano

7 Publicaciones

243 Interacciones

1 Seguidores

0 Siguiendo

Lista de publicaciones de montaditogitano

He publicado nuevos examenes de 3º Variable Compleja I: Parcial-2025-Corregido-en-Clase.pdf

4 páginas

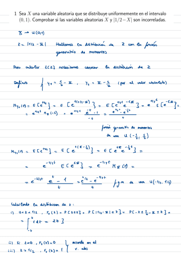
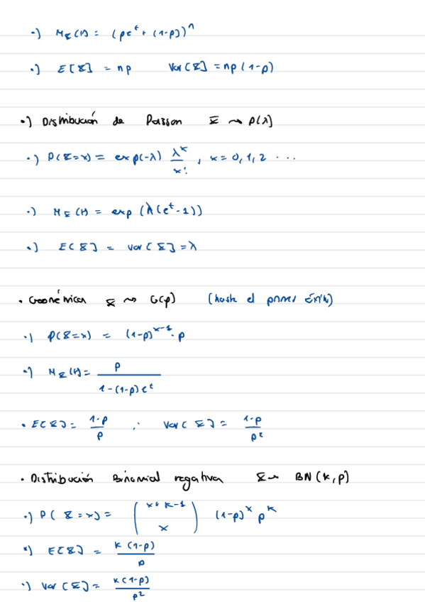
He publicado nuevos apuntes de 2º Probabilidad: Formulas-Probabilidas-Para-aprobar.pdf

6 páginas

He publicado nuevos apuntes de 2º Probabilidad: Relacion-4-prob.pdf

25 páginas

apuntes

-

Todas relaciones resueltas EDO

He publicado nuevos apuntes de 2º Ecuaciones Diferenciales I: Todas relaciones resueltas EDO

Relacion-1.pdf
Relacion-2.pdf
Relacion-4.pdf
Relacion-5.pdf