@mqnwbrraagghhhh

Estudios: Grado en Física (UCO) ...Mostrar más

29 Publicaciones

657 Interacciones

1 Seguidores

0 Siguiendo

Lista de publicaciones de mqnwbrraagghhhh

ejercicios

-

SESIONES/BOLETINES ÁLGEBRA II

He publicado nuevos ejercicios de 1º Álgebra Lineal y Geometría II: SESIONES/BOLETINES ÁLGEBRA II

Ejercicios-Sesion-4.pdf
Ejercicios-Sesion-3.pdf
Ejs-sesion-2.pdf
Ejercicios-Sesion-6.pdf
Ejercicios-Sesion-5.pdf

He publicado nuevos ejercicios de 1º Análisis Matemático II: ejercicio-3-apartado-a-boletin-1.pdf

1 página

He publicado nuevos ejercicios de 1º Análisis Matemático II: ejercicios-tema-1-analisis.pdf

21 páginas

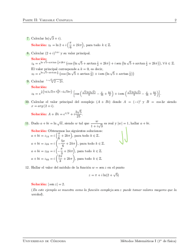
He publicado nuevos ejercicios de 1º Métodos Matemáticos I: Ejercicios-T3-variable-compleja.pdf

10 páginas

He publicado nuevos apuntes de 1º Análisis Matemático II: Mini-Resumen-Tema-5-Analisis.pdf

3 páginas

He publicado nuevos apuntes de 1º Métodos Matemáticos I: Resumen-T1-Variable-Compleja.pdf

4 páginas

He publicado nuevos ejercicios de 1º Métodos Matemáticos I: Boletin-Tema-2-Variable-Compleja-Y-Ejemplos.pdf

12 páginas

He publicado nuevos apuntes de 1º Análisis Matemático II: Ejercicios-Tema-6.pdf

10 páginas

He publicado nuevos ejercicios de 1º Métodos Matemáticos I: Ejercicios-T1-variable-Compleja-Boletin-Completo.pdf

10 páginas

He publicado nuevos ejercicios de 1º Análisis Matemático II: Ejercicios-Tema-5-boletin-Y-Ejemplos.pdf

13 páginas

otros

-

ESTADÍSTICA

He publicado nuevos otros de 1º Métodos Matemáticos I: ESTADÍSTICA

TEMA-2-V.A.1-Generalidades.pdf
apuntes-Clase-TEMA-1-probabilidad.pdf
Tema-3V.A.-2.-Distribuciones.pdf
Seminario-T4.pdf
Seminario-T3.pdf
Problemas-2-Seminario.pdf

He publicado nuevos apuntes de 1º Álgebra Lineal y Geometría II: tensores-Metricos.pdf

1 página

He publicado nuevos apuntes de 1º Álgebra Lineal y Geometría II: Algebra-Tensorial.pdf

10 páginas

He publicado nuevos apuntes de 1º Álgebra Lineal y Geometría II: Apuntes-Geometria-AFIN.pdf

8 páginas

He publicado nuevos apuntes de 1º Álgebra Lineal y Geometría II: T1-espacios-vect.-EUCLIDEO.pdf

18 páginas

He publicado nuevos apuntes de 1º Análisis Matemático II: Ejs-Tema-4.pdf

14 páginas

He publicado nuevos apuntes de 1º Análisis Matemático II: Ejs-Tema-3.pdf

18 páginas

He publicado nuevos apuntes de 1º Análisis Matemático II: Ejs-Tema-2.pdf

16 páginas

He publicado nuevos apuntes de 1º Análisis Matemático II: Resumenes-Tema-1.pdf

6 páginas