@Mr_X

80 Publicaciones

2.24k Interacciones

0 Seguidores

0 Siguiendo

Lista de publicaciones de Mr_X

He publicado nuevos trabajos de 4º Trabajo Fin de Grado: TFG-FINAL.pdf

56 páginas

apuntes

-

Prácticas IMSE

He publicado nuevos apuntes de 4º Prácticas de Empresa: Prácticas IMSE

1.pdf
2.pdf
3.pdf
4.pdf
5.pdf
6.pdf

He publicado nuevos trabajos de 4º Análisis Numérico y Experimental en Materiales Estructurales: ANUM-puente.pdf

2 páginas

He publicado nuevos trabajos de 4º Análisis Numérico y Experimental en Materiales Estructurales: Modelizacion-de-plasticidad-en-pequenas-deformaciones-MODELO-2.pdf

25 páginas

He publicado nuevos trabajos de 4º Análisis Numérico y Experimental en Materiales Estructurales: TRABAJO-5.pdf

12 páginas

He publicado nuevos trabajos de 4º Análisis Numérico y Experimental en Materiales Estructurales: TRABAJO-4.pdf

7 páginas

He publicado nuevos trabajos de 4º Análisis Numérico y Experimental en Materiales Estructurales: TRABAJO-2.pdf

51 páginas

He publicado nuevos trabajos de 4º Análisis Numérico y Experimental en Materiales Estructurales: TRABAJO-1-PUENTE.pdf

11 páginas

trabajos

-

Trabajos Materiales Compuestos

He publicado nuevos trabajos de 3º Materiales Compuestos: Trabajos Materiales Compuestos

PLANTILLA GRÁFICAS TRABAJO 1 (SÓLO INTRODUCIR PARÁMETROS DE TU MATERIAL).xlsx
Trabajo 1 COMP.pdf
Trabajo 2 COMP.pdf
Trabajo 3 COMP.pdf
PLANTILLA CÁLCULO TRABAJO 3.xlsx
PLANTILLA-GRAFICAS-TRABAJO-2Actualizado-2021.xlsx

La práctica corresponde a 2 muestras

73 páginas

277 páginas con todos los apuntes y ejercicios de clase

277 páginas

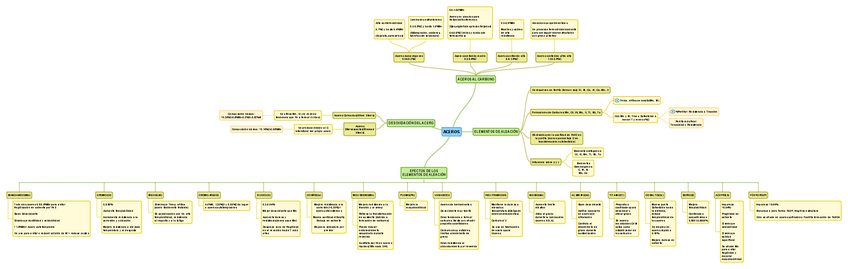
He publicado nuevos apuntes de 2º Materiales Metálicos: TEMA 7 MMET.pdf

1 página

He publicado nuevos apuntes de 2º Materiales Metálicos: TEMA 8 MMET.pdf

1 página

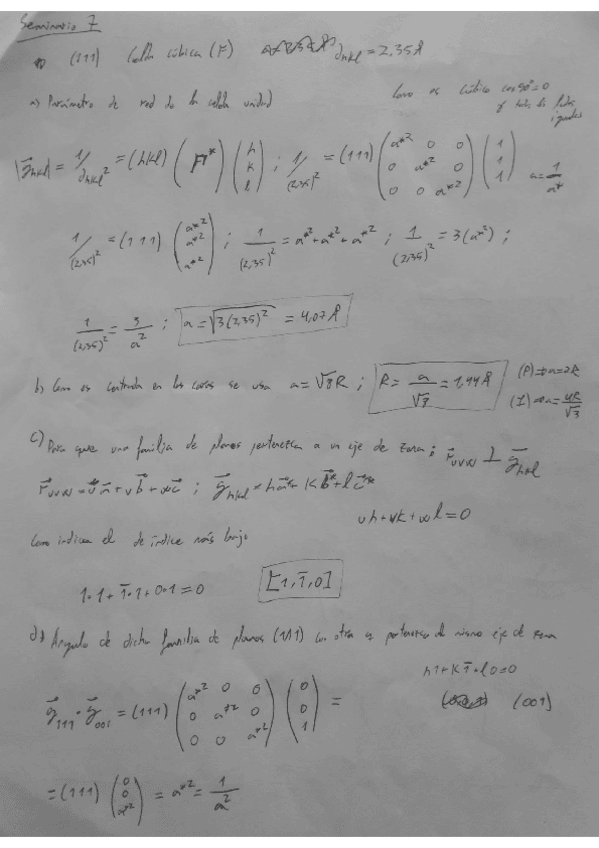
He publicado nuevos ejercicios de 2º Estructura de Materiales: Seminario 6.pdf

5 páginas

practicas

-

Práctica Invertir en Bolsa(Todos los documentos a entregar)

He publicado nuevos practicas de 1º Fundamentos de Economía y Empresa: Práctica Invertir en Bolsa(Todos los documentos a entregar)

ACTIVIDAD PASADA (21 abril al 28 de abril).pdf
ACTIVIDAD PASADA (29 abril al 5 de mayo).pdf
cuadrotrading - Hoja1.pdf
cuadrotrading - Hoja2.pdf
EXTRACTO.pdf
Primera semana.pdf

He publicado nuevos ejercicios de 2º Química del Estado Sólido: Seminario 3.pdf

5 páginas

He publicado nuevos ejercicios de 2º Estructura de Materiales: seminario 9.pdf

3 páginas

He publicado nuevos practicas de 2º Comportamiento Electronico y Termico: practica 2.pdf

9 páginas

He publicado nuevos ejercicios de 2º Estructura de Materiales: Seminario 3.pdf

6 páginas

practicas

-

Todas las prácticas(formato .pdf y .odt)

He publicado nuevos practicas de 1º Física I: Todas las prácticas(formato .pdf y .odt)

Práctica 2.odt
Práctica 2.pdf
Práctica 3.odt
Práctica 4.odt
Práctica 4.pdf
Práctica 3.pdf