@Mrlib
Estudios: Grado en Ingeniería Informática (UCM)
Bio: Lo poco que subo es de calidad
2 Publicaciones
57 Interacciones
0 Seguidores
1 Siguiendo
Lista de publicaciones de Mrlib
Aprende a diferenciar overflow y carry en 1 mín. con los ejemplos. Los profes nunca lo explican muy bien...
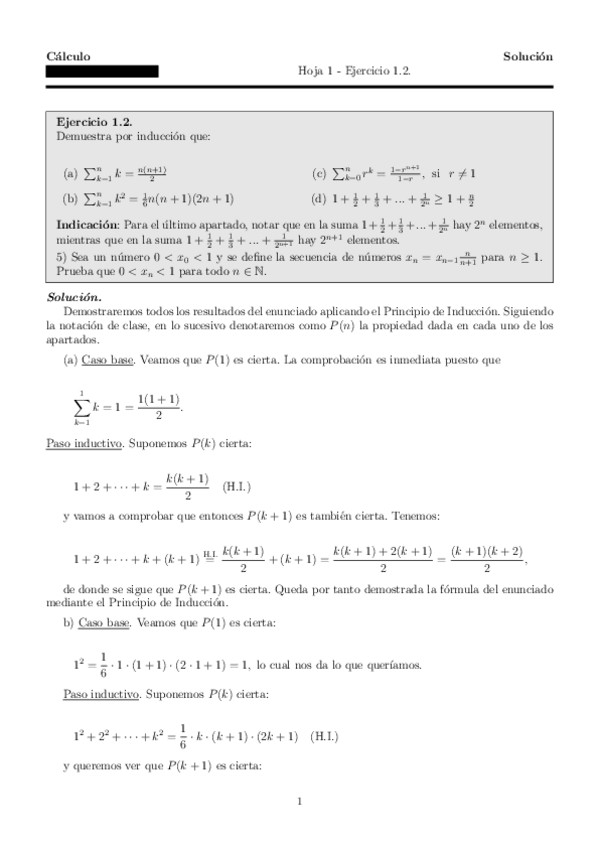
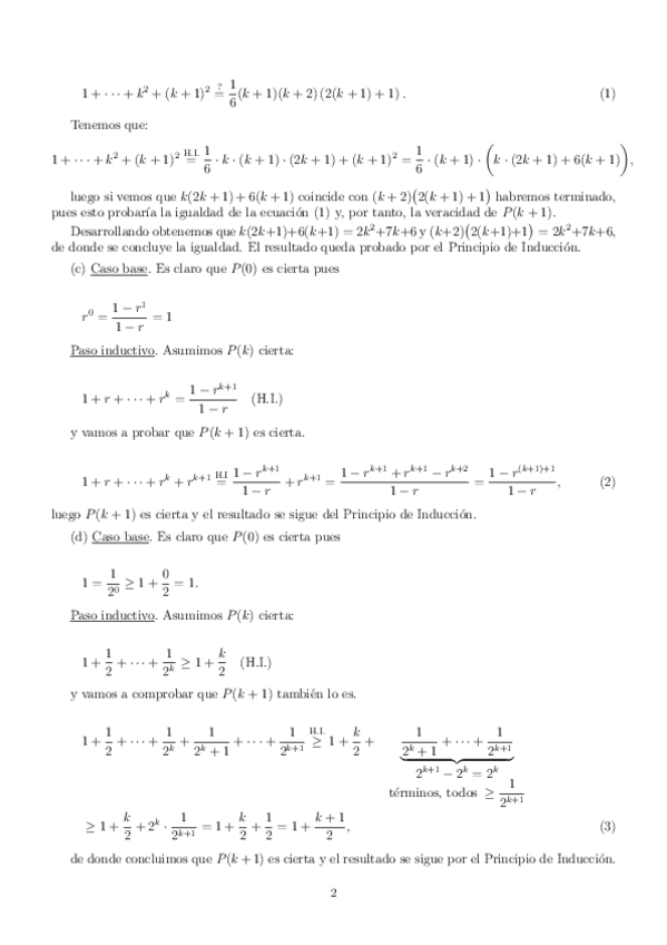
Ejercicio de cuatro apartados de inducción resuelto