@Mufasa05

21 Publicaciones

301 Interacciones

2 Seguidores

1 Siguiendo

Lista de publicaciones de Mufasa05

He publicado nuevos examenes de 3º Ingeniería de las Reacciones Homogéneas: Ordinaria-2025-IRHO.pdf

3 páginas

He publicado nuevos apuntes de 1º Matemáticas II: Sol-Hoja-6.pdf

2 páginas

He publicado nuevos ejercicios de 1º Matemáticas II: Sol-Hoja-5.pdf

3 páginas

He publicado nuevos ejercicios de 1º Matemáticas II: Sol-Hoja-4.pdf

3 páginas

He publicado nuevos ejercicios de 1º Matemáticas II: Sol-Hoja-3.pdf

2 páginas

He publicado nuevos ejercicios de 1º Matemáticas II: Sol-Hoja-2.pdf

3 páginas

He publicado nuevos ejercicios de 1º Matemáticas II: Sol-Hoja-1.pdf

4 páginas

He publicado nuevos apuntes de 2º Biología y Bioquímica: T11-Cinetica-enzimatica.pdf

1 página

He publicado nuevos apuntes de 2º Biología y Bioquímica: T10-Enzimas-como-catalizadores-biologicos.pdf

2 páginas

He publicado nuevos apuntes de 2º Biología y Bioquímica: T9-Tecnicas-de-purificacion-estudio-de-proteinas.pdf

2 páginas

He publicado nuevos apuntes de 2º Biología y Bioquímica: T7-Aminoacidos-peptidos-y-proteinas.pdf

1 página

He publicado nuevos apuntes de 2º Biología y Bioquímica: T6-Nucleosidos-nucleotidos-y-acidos-nucleicos.pdf

1 página

He publicado nuevos apuntes de 2º Biología y Bioquímica: T5-Estructuras-y-funciones-de-los-lipidos.pdf

1 página

He publicado nuevos apuntes de 2º Biología y Bioquímica: T4-Estructuras-y-funciones-de-los-carbohidratos.pdf

2 páginas

Ejercicios evaporadores (Tema 6)

6 páginas

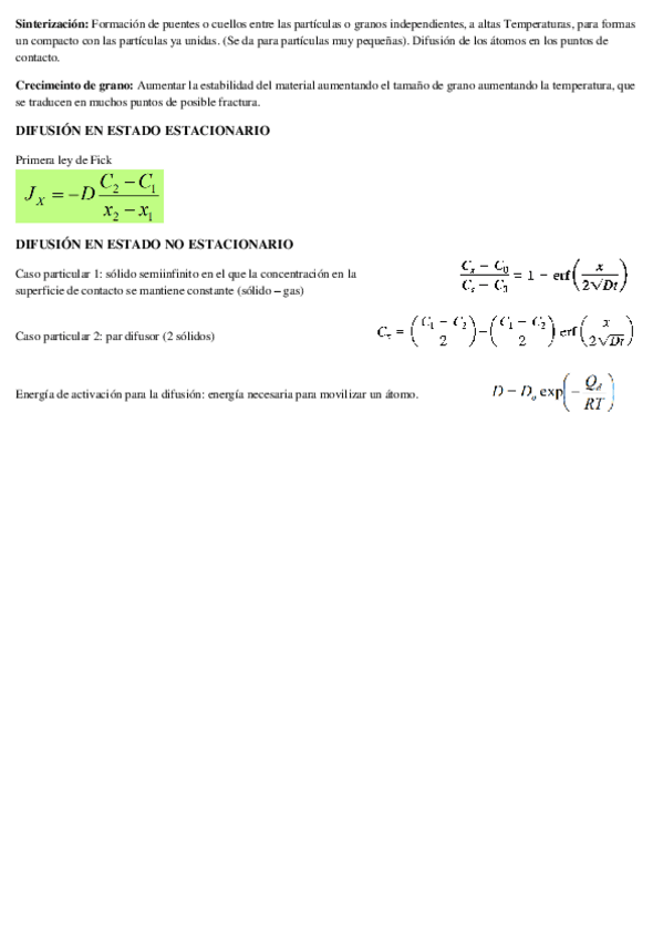
He publicado nuevos apuntes de 2º Ciencia e Ingeniería de Materiales: Resumen-temas-3-y-5.pdf

3 páginas

He publicado nuevos apuntes de 2º Experimentación en Ingeniería: Resumen-Seminario-Bloque-3-y-4.pdf

3 páginas

He publicado nuevos practicas de 2º Química Orgánica Industrial: Cuestiones-Laboratorio.pdf

6 páginas

He publicado nuevos apuntes de 2º Termodinámica de los Procesos Industriales: Tema-1-Apuntes.pdf

6 páginas

He publicado nuevos apuntes de 2º Ingeniería de Fluidos: Resumen-Todo-Fluidos.pdf

12 páginas