@Narf

25 Publicaciones

835 Interacciones

1 Seguidores

1 Siguiendo

Lista de publicaciones de Narf

He publicado nuevos apuntes de 2º Termodinámica: Esquema-ppios-termodinamica.pdf

1 página

examenes

-

Cuestiones 08-07-09

He publicado nuevos examenes de 2º Mecánica de Fluidos I: Cuestiones 08-07-09

Enunciado.pdf
C2.pdf

examenes

-

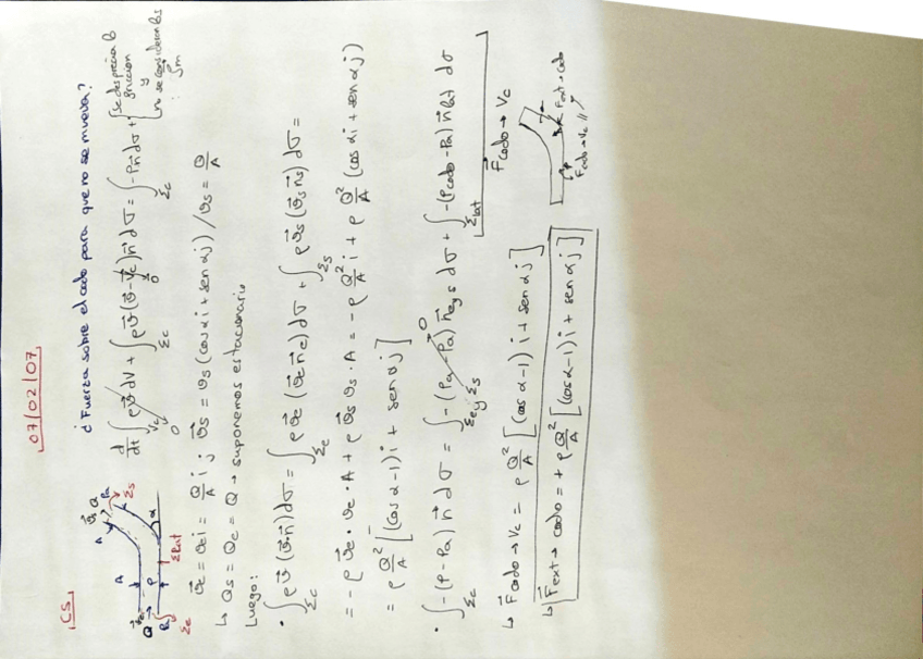
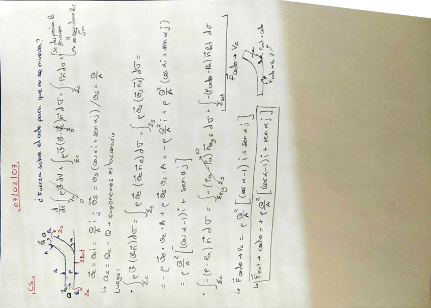
Cuestiones 07/02/07

He publicado nuevos examenes de 2º Mecánica de Fluidos I: Cuestiones 07/02/07

C5.pdf
Enunciado.pdf

apuntes

-

Practica 1

He publicado nuevos apuntes de 2º Control Automático: Practica 1

practica1.docx

apuntes

-

Practica 2 18/19

He publicado nuevos apuntes de 2º Control Automático: Practica 2 18/19

Cálculos manuales.pdf
practica2.docx

examenes

-

examenes resueltos

He publicado nuevos examenes de 1º Expresión Gráfica: examenes resueltos

1_Industriales.pdf
Adaptador 2012.pdf
codo examen 11-12.pdf
corte pieza plano ex 2012.pdf
ejercicio 1.8.pdf
herradura chapa.pdf

apuntes

-

examenes resueltos

He publicado nuevos apuntes de 4º Apuntes Variados: examenes resueltos

1_Industriales.pdf
2_industriales.pdf
3_industriales.pdf