@nataliangp

Estudios: Grado en Ingeniería de Materiales (US) ...Mostrar más

48 Publicaciones

1.26k Interacciones

1 Seguidores

0 Siguiendo

Lista de publicaciones de nataliangp

He publicado nuevos apuntes de 3º Corrosión y Protección: casitodo.pdf

108 páginas

apuntes

-

resumenes temas 4-10

He publicado nuevos apuntes de 3º Obtención de Materiales: resumenes temas 4-10

5.pdf
4.pdf
6.pdf
8.pdf
10.pdf
9.pdf

practicas

-

informes de practicas

He publicado nuevos practicas de 2º Comportamiento óptico y Magnético: informes de practicas

MEMORIA2.pdf
MEMORIA-4.pdf
MEMORIA3.pdf

practicas

-

informes de practicas

He publicado nuevos practicas de 2º Comportamiento Electronico y Termico: informes de practicas

presentacion-dilatacion-termica.pdf
PRACTICAS1Y2final.pdf

apuntes

-

tema 2-3 resumenes

He publicado nuevos apuntes de 4º Corrosión y Protección: tema 2-3 resumenes

TEMA2.pdf
TEMA3.pdf

apuntes

-

tema 2-3 resumenes

He publicado nuevos apuntes de 3º Corrosión y Protección: tema 2-3 resumenes

TEMA3.pdf
TEMA2.pdf

apuntes

-

tema 1-2 resumenes

He publicado nuevos apuntes de 4º Obtención de Materiales: tema 1-2 resumenes

2-MINERALURGIA.pdf
tema-1.pdf

apuntes

-

tema 1-2 resumen

He publicado nuevos apuntes de 3º Obtención de Materiales: tema 1-2 resumen

tema-1.pdf
2-MINERALURGIA.pdf

He publicado nuevos apuntes de 2º Diagramas y Transformaciones de Fase: Solucionario-de-Ciencia-e-Ingenieria-de-los-Materiales.pdf

263 páginas

He publicado nuevos examenes de 2º Diagramas y Transformaciones de Fase: convocatoria dtf.pdf

1 página

He publicado nuevos ejercicios de 2º Diagramas y Transformaciones de Fase: ejs resueltos.pdf

24 páginas

He publicado nuevos apuntes de 1º Química I: QGP10Ed (libro).pdf

1446 páginas

apuntes

-

PARCIALES 2016/2017 RESUELTOS

He publicado nuevos apuntes de 1º Física I: PARCIALES 2016/2017 RESUELTOS

ex_2P_resuelto.pdf

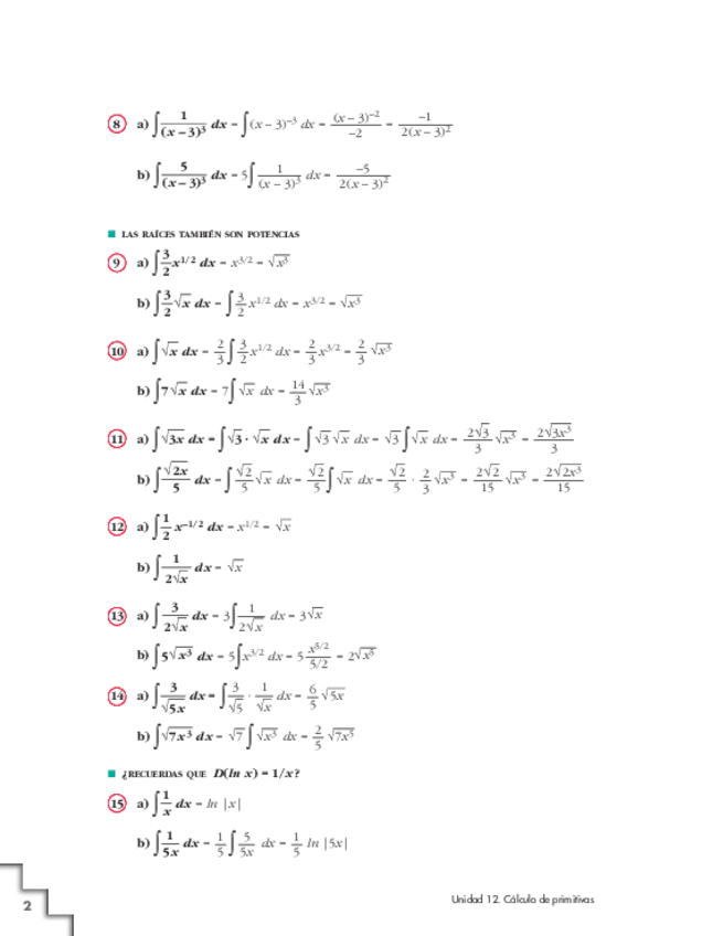
He publicado nuevos examenes de 1º Matemáticas I: cálculo primitivas (1).pdf

61 páginas

apuntes

-

Parciales 2015/1016

He publicado nuevos apuntes de 1º Física I: Parciales 2015/1016

examen_parcial1_15-16.pdf
examen_parcial2_15-16.pdf

He publicado nuevos examenes de 1º Física I: examen_2P_01_18.pdf

10 páginas

He publicado nuevos apuntes de 1º Física I: examen_final_jun16.pdf

7 páginas

He publicado nuevos examenes de 1º Matemáticas I: parcial_previo_2013.pdf

1 página

He publicado nuevos apuntes de 1º Matemáticas I: Algebra lineal y sus aplicaciones- 4ta Edición - David C. Lay-FREELIBROS.ORG.pdf

580 páginas

He publicado nuevos examenes de 1º Matemáticas I: examenfinaldiciembre.pdf

1 página