@natalufa

Bio: lol

45 Publicaciones

826 Interacciones

3 Seguidores

3 Siguiendo

Lista de publicaciones de natalufa

He publicado nuevos apuntes de 2º Química Inorgánica I: Ejercicios-corregidos-primera-parte-Man.pdf

52 páginas

He publicado nuevos apuntes de 2º Química Inorgánica I: Apuntes-de-clase-1er-parcial-Manuel.pdf

43 páginas

apuntes

-

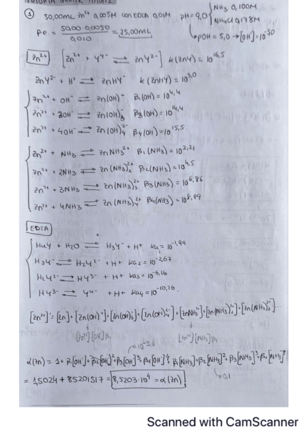
química analítica I

He publicado nuevos apuntes de 2º Química Analítica I: química analítica I

quimica-analitica-bloque-1-todo.pdf
quimica-analitica-bloque-3-todo.pdf
quimica-analitica-bloque-2-todo.pdf
bloque-2-tutorias-y-examenes-resueltos.pdf

He publicado nuevos apuntes de 1º Matemáticas: Tema-6-Ecuaciones-diferenciales.pdf

pdf

He publicado nuevos apuntes de 1º Matemáticas: Tema-5-Integracion.pdf

pdf

He publicado nuevos apuntes de 1º Química Básica: Formulas-temas-7-y-8.pdf

pdf

He publicado nuevos apuntes de 1º Química Básica: Tema-8-equilibrio-quimico-.pdf

pdf

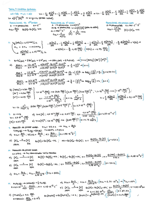
He publicado nuevos apuntes de 1º Química Básica: Tema-7-cinetica-quimica-.pdf

pdf

He publicado nuevos apuntes de 1º Química Básica: Tema-5-Termoquimica-.pdf

pdf

He publicado nuevos apuntes de 1º Química Básica: Tema-4-Disoluciones.pdf

pdf

He publicado nuevos apuntes de 1º Química Básica: Tema-3-Gases.pdf

pdf

He publicado nuevos apuntes de 1º Física: Tema-5-Oscilaciones.pdf

pdf

He publicado nuevos apuntes de 1º Física: Tema-4-Trabajo-y-energia-.pdf

pdf

He publicado nuevos apuntes de 1º Física: Tema-3-Dinamica-de-un-conjunto-de-particulas-.pdf

pdf

He publicado nuevos apuntes de 1º Matemáticas: Tema-7-funciones-de-varias-variables.pdf

pdf

He publicado nuevos apuntes de 1º Matemáticas: Tema-8-diagonalizacion-de-matrices.pdf

pdf

Bachillerato de Ciencias y Tecnología

1 página

Bachillerato de Ciencias y Tecnología

1 página

Bachillerato de Ciencias y Tecnología

1 página

Bachillerato de Ciencias y Tecnología

2 páginas