@Nicklh

Estudios: Grado en Criminología (UPO) ...Mostrar más

123 Publicaciones

3.32k Interacciones

7 Seguidores

1 Siguiendo

Lista de publicaciones de Nicklh

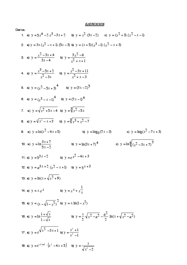
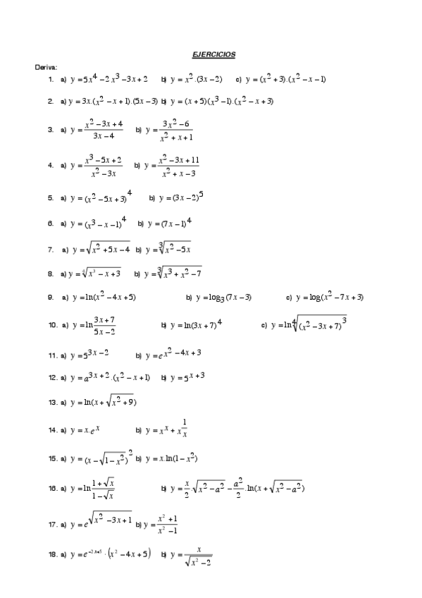
He publicado nuevos apuntes de 1º Matemáticas I: Ejercicios-derivadas-con-solucion.pdf

3 páginas

apuntes

-

Biología y genética forense

He publicado nuevos apuntes de 4º Biología y Genética Forense: Biología y genética forense

TEMA-1.pdf

apuntes

-

Toxicología

He publicado nuevos apuntes de 3º Toxicología: Toxicología

Tema-1.pdf
Tema-2.pdf

apuntes

-

Temas Víctimología

He publicado nuevos apuntes de 3º Victimología: Temas Víctimología

TEMA-7.pdf
TEMA-6.pdf
TEMA-5.pdf
T.pdf

He publicado nuevos apuntes de 3º Derecho de la Seguridad Publica y Privada: Estado-de-alarma-excepcion-y-sitio.pdf

1 página

He publicado nuevos apuntes de 1º Derecho Constitucional: Estado-de-alarma-excepcion-y-sitio.pdf

1 página

apuntes

-

Derecho Constitucional

Algunos temas del Manual de Pérez Royo.

Unidad 2. Derechos Individuales..pdf
Unidad 3. LIBERTADES PÚBLICAS..pdf
Lección 1. Los DERECHOS FUNDAMENTALES. .pdf
Unidad 7. La Garantía Constitucional de los Derechos.pdf
T.1-Constitucional.-.pdf
Tema-2.-Constitucional.pdf

apuntes

-

Derecho Penal II

Resumen manual Muñoz Conde Derecho Penal II, versión actualizada.

1. HOMICIDIO. pdf.pdf
2.ASESINATO. .pdf
3. Inducción y cooperacion al suicidio..pdf
4. ABORTO. .pdf
5. LESIONES..pdf
6.LESIONES AL FETO.pdf

apuntes

-

Derecho Penal Parte General 2018.

Apuntes muy completos basado en el Manual de Muñoz Conde y los apuntes del profesor F.Javier Bernalte Calle.

Tema 1. Derecho Penal Objetivo.pdf
Tema 2. Derecho Penal Subjetivo..pdf
Tema 3. El Concepto de Delito.pdf
Tema 4. Acción y Omisión copia.pdf
Tema 5. Tipicidad..pdf
Tema 6. Antijuricidad y Causas de Justificación. copia.pdf

apuntes

-

Metodología - Fede Pozo Cuevas.

Bloque I basado en su libro y en las teorías importantes que ha indicado en clase.

BLOQUE I.pdf

apuntes

-

Teorías Criminalidad - Manual Silvia M.

Resumen del Manual resumido, muy completo.

Tema 3. Teorías de la Criminalidad..pdf
Tema 4. Teorías de la Criminaliadad..pdf
Tema 6. Teorías de la Criminalidad.pdf
Unidad 7.Criminología Crítica. .pdf