@nievesbtll

Estudios: Grado en Biotecnología (UPO) ...Mostrar más

197 Publicaciones

14.37k Interacciones

10 Seguidores

4 Siguiendo

Lista de publicaciones de nievesbtll

apuntes

-

Resúmenes magistrales

Resúmenes hechos en páginas A5 muy solicitados por mis compañeros

SPSS-EPD-Practicas.pdf
Teoria-Combinatoria-Tema-3-visto-en-EPD.pdf
Teoria-Tema-1.pdf
Teoria-Tema-2.pdf
Teoria-Tema-3.pdf
Teoria-Tema-4.pdf

Hola! También he subido apuntes de Economía y gestión de empresas.

apuntes

-

Apuntes teoría - EB (completos de clase)

Son apuntes tomados en clase y contrastado con años anteriores. Completos para si faltáis algún día, para seguir las clases o para hacer resúmenes/esquemas

Tema-5.pdf
Tema-1.pdf
Tema-4.pdf
Tema-7.pdf
Tema-6.pdf
Tema-2.pdf

Hola! He subido apuntes (Biotecnología) de varias asignaturas: Análisis Matemático, Técnicas de análisis instrumental (TAI) y Biorreactores. Tengo subidas tanto las EB como las EPD de todas ellas. Estos días voy a ir subiendo más apuntes, priorizando las asignaturas de 2º semestre por si los necesitáis ahora :)

practicas

-

Prácticas EPD - hechas y explicadas

He publicado nuevos practicas de 3º Técnicas y Análisis Instrumental: Prácticas EPD - hechas y explicadas

EPD1-explicacion-analitos.pdf
EPD-2-hecha-MS.pdf
EPD-3-hecha-MALDI.pdf
EPD-4-hecha-infrarroja.pdf
EPD-5-hecha-RMN.pdf

apuntes

-

Apuntes teoría - EB (Manual)

Son apuntes completos de TODO lo que se dijo en clase (útil por si se falta a clase algún día), a partir de los cuales se pueden sacar resúmenes completos

Tema-1-Parte-1-Cromatografia.pdf
Tema-3-Parte-2-Espectroscopica-IR-y-UV-Visible.pdf
Tema-2-Parte-2-Espectrometria-de-masas.pdf
Tema-5-Parte-3-Resonancia-Magnetica-Nuclear-RMN.pdf
Tema-4-Parte-2-Microscopias-de-barrido.pdf

ejercicios

-

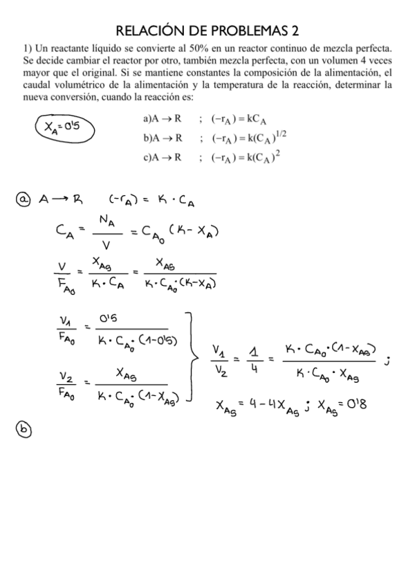
Relaciones de problemas

He publicado nuevos ejercicios de 3º Biorreactores: Relaciones de problemas

Relacion-De-Problemas-2-resuelta.pdf

practicas

-

EPD prácticas e informe final

He publicado nuevos practicas de 3º Biorreactores: EPD prácticas e informe final

EPD1.pdf
Informe-final.pdf
EPD2-EPD3-EPD4.pdf

apuntes

-

Apuntes EB completos

He publicado nuevos apuntes de 3º Biorreactores: Apuntes EB completos

Tema-4.pdf
Tema-5.pdf
Tema-6.pdf
Tema-7.pdf
Tema-8-9-10.pdf

apuntes

-

Apuntes completos

Apuntes completos cogidos en clase y con ejemplos. También archivos resúmenes

Tema-1-apuntes-y-anexo-ejemplos-de-clase.pdf
Tema-2-apuntes-y-anexo-ejemplos-de-clase.pdf
Tema-3-apuntes-y-ejemplos.pdf
Tema-4-apuntes-y-ejemplos.pdf
Resumen-esquema-Tema-1-A5.pdf
Resumen-esquema-Tema-2-A5.pdf

He publicado nuevos apuntes de 1º Análisis Matemático: Examen-junio-2019.pdf

2 páginas