@njm2

Bio: estudios ingleses' survivor

139 Publicaciones

4.55k Interacciones

1 Seguidores

2 Siguiendo

Lista de publicaciones de njm2

He publicado nuevos apuntes de 2º Lengua y cultura de los países de habla inglesa i: wuolah-Resumen Lengua y Cultura 1-10.docx

word

apuntes

-

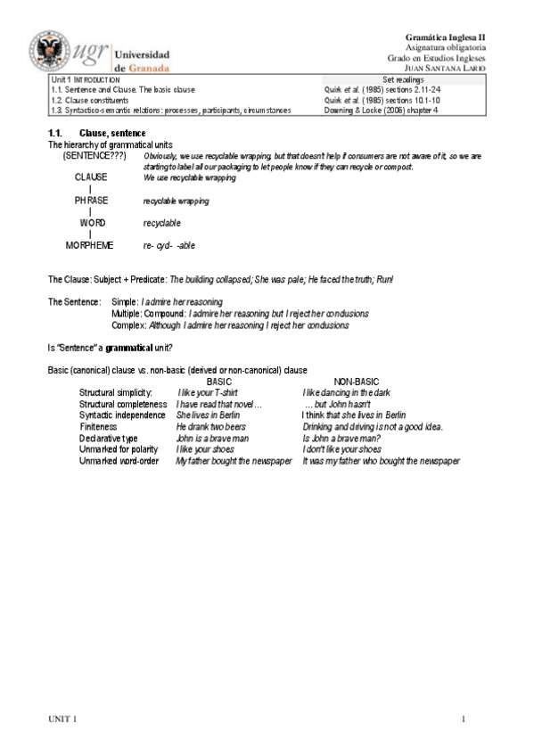
GRAMÁTICA II

He publicado nuevos apuntes de 2º Gramática Inglesa Ii: Estructura de la Oración: GRAMÁTICA II

Unit 1.pdf
Unit 2.pdf
Unit_3_Adverbials.pdf
Unit_4_Coordination_Subordination.pdf
Outline_Unit_1-Clause_and_Clause_Constituents.pdf
Outline_Unit2_Verb_Complementation.pdf

He publicado nuevos apuntes de 2º Lengua y cultura de los países de habla inglesa i: Unit 7_Revolution and Georgian Britain_1789-1837.ppt

Miniatura no disponible
powerpoint

apuntes

-

Estudios Ingleses

He publicado nuevos apuntes de 2º Gramática Inglesa I: Introducción a la Morfosintaxis: Estudios Ingleses

1 THE STUDY OF LANGUAGE LINGUISTICS.pdf
2 TOOLS FOR GRAMMATICAL DESCRIPTION.pdf
3 UNITS OF GRAMMAR.pdf
4 MORPHEMES.pdf
5 WORDS.pdf