@noee1_

Estudios: Grado en Ingeniería Forestal (UPM) ...Mostrar más

44 Publicaciones

683 Interacciones

1 Seguidores

1 Siguiendo

Lista de publicaciones de noee1_

examenes

-

Exámenes 2º parcial sin soluciones (para poder contestar sin ver la respuesta)

He publicado nuevos examenes de 2º Mecánica de Fluidos e Hidráulica: Exámenes 2º parcial sin soluciones (para poder contestar sin ver la respuesta)

2022-julio-2-PARCIAL.pdf
2022-Junio-2o-parcial.pdf
2023-Juliosolucion2-parcial.pdf
20232parcialJUNIO.pdf
2023-2parcial-mayo.pdf
2024P2Extraordinario.pdf

examenes

-

Exámenes 1er parcial sin soluciones (para poder contestar sin ver cual es la solución)

Para poder hacer los ejercicios sin saber cual es la solución

20241parcEvEXTRAORDINARIA-COMPLETO.pdf
20241parcEvORDINARIA-COMPLETO.pdf
20241parcEvContinua-COMPLETO.pdf
2023-Juliosolucion1-parcial.pdf
20231parcialJUNIO.pdf
20231parcialmarzo.pdf

He publicado nuevos examenes de 1º Informática y Programación: Parcial-1-GIE-2023-24-soluciones.pdf

5 páginas

apuntes

-

Apuntes todos los temas

Apuntes y ejercicios que hemos ido haciendo en clase

T-1-Cinetica-quimica.pdf
T-3-Acido-base.pdf
T-2-Equilibrio-quimico.pdf
T-4-Redox.pdf

He publicado nuevos test de 1º Química II: Cuestionario-bloque1-Cinetica-Quimica-Revision-del-intento.pdf

2 páginas

ejercicios

-

Ejercicios de todos los temas

He publicado nuevos ejercicios de 1º Física I: Ejercicios de todos los temas

T-14--ejercicios.pdf
T-10--ejercicios.pdf
T-11-12-13--ejercicios.pdf
T-7-8-9--ejercicios.pdf
T-5-6--ejercicios.pdf
T-3-4--ejercicios.pdf

Apuntes tomados en clase con aclaraciones de las presentaciones

9 páginas

Apuntes mezcla de las presentaciones y mis apuntes de las clases

4 páginas

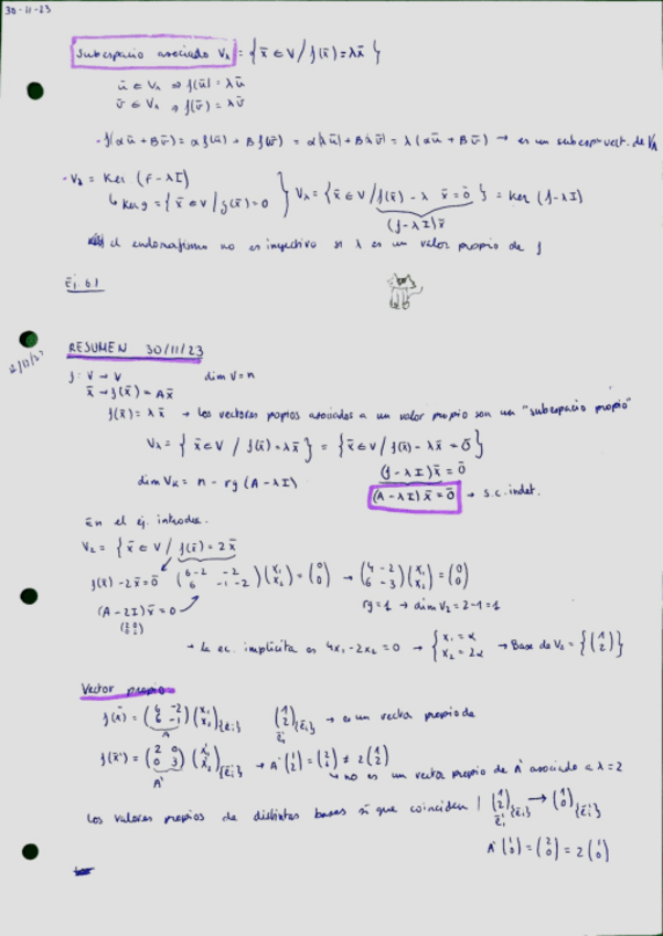
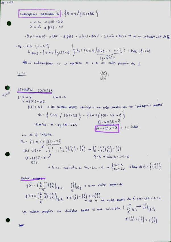
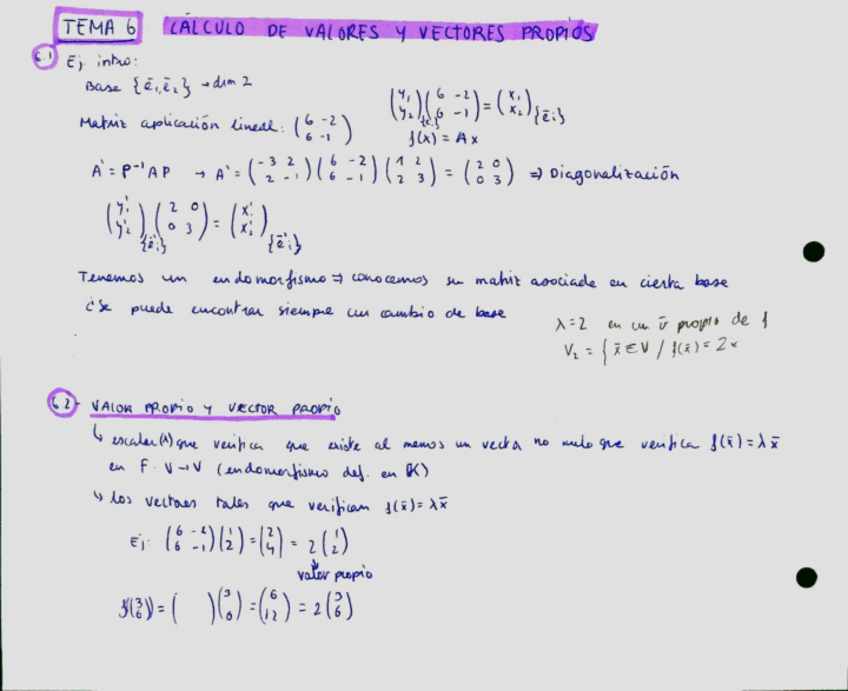
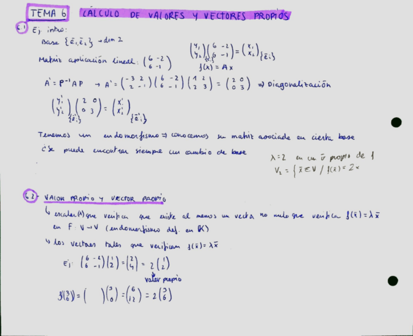
A partir de la presentación de Ultano, pero añadiendo explicaciones y cosas que dice en clase. La última cara es un resumen de los tipos de aplicaciones(inyectiva, sobreyectiva...) y sus como cambian propiedades(kerf, imf...) que me ayudó mucho

4 páginas

He publicado nuevos apuntes de 1º Cálculo I: T.4-numeros-complejos-apts.pdf

6 páginas