@noteimpp

Bio: Mucha suerte.

218 Publicaciones

2.07k Interacciones

2 Seguidores

1 Siguiendo

Lista de publicaciones de noteimpp

Incluye: Reacciones químicas y estequiometría T2, La Energía de las Reacciones Químicas T3, REDOX T7 Reacciones de precipitación T6 Ácido base T5, Energía reacción químicas T4,

13 páginas

He publicado nuevos apuntes de 1º Física: APUNTES-TEORIA-COMPLETO-todos-los-temas.pdf

15 páginas
Anónimo

@Anónimo

apuntes

-

APUNTES TEORÍA completa BIOLOGÍA

He publicado nuevos apuntes de 1º Biología: APUNTES TEORÍA completa BIOLOGÍA

U-P4-Continuidad-de-la-vida.pdf
U-P5-Diversidad-biologica.pdf
U-T2-Lipidos.pdf
U-T3-Proteinas.pdf
U-T4-Celula-Documentos-de-Google.pdf
U-T5-Introduccion-al-metabolismo.pdf

apuntes

-

APUNTES TEORÍA completos GEOLOGÍA

He publicado nuevos apuntes de 1º Geología: APUNTES TEORÍA completos GEOLOGÍA

T1-T2-Ciencias-geologicas-La-Tierra.pdf
T3-Caract-fisicas-de-la-Tierra.pdf
T4-Estructura-interna-de-la-Tierra.pdf
T5-Geodinamica-interna.pdf
T6-Geondinamica-interna.pdf
T7-Geodinamica-interna-III-Magmatismo.pdf

apuntes

-

Esquemas teoría apuntes

He publicado nuevos apuntes de 1º Zoología: Esquemas teoría apuntes

ESQUEMAS-TEORIA.pdf

apuntes

-

APUNTES TEORÍA completo ZOOLOGÍA

He publicado nuevos apuntes de 1º Zoología: APUNTES TEORÍA completo ZOOLOGÍA

T1-T2-Concepto-animal-Analisis.pdf
T3-Ontogenia-y-filogenia.pdf
T5-t6-Diblasticos.pdf
T7-Acelomados-platelmintos.pdf
T8-Pseudocelomados.pdf
T9-Celomados-metameticos.pdf

apuntes

-

APUNTES TEORIA COMPLETOS temario

He publicado nuevos apuntes de 1º Matemáticas II: APUNTES TEORIA COMPLETOS temario

T1-Analisis-exploratorio-de-datos.pdf
T2-Probabilidad.pdf
T3-Inferencia-en-una-poblacion.pdf
T4-Analisis-de-dos-muestras.pdf
T6-Analisis-de-datos-categoricos.pdf

apuntes

-

APUNTES EJEMPLOS PRÁCTICOS

He publicado nuevos apuntes de 1º Matemáticas II: APUNTES EJEMPLOS PRÁCTICOS

Muestras-emparejadas-independientes-y-mas-de-dos-muestras-independientes.pdf
Regresion-lineal-y-analisis-de-datos-categoricos.pdf

apuntes

-

TEORÍA APUNTES completos BOTÁNICA

He publicado nuevos apuntes de 1º Botánica: TEORÍA APUNTES completos BOTÁNICA

B2-Mundo-vegetal.pdf
B3-Reproduccion-y-multiplicacion.pdf
B4-Hongos.pdf
T6-Hongos-simbiontes.pdf
T7-B6-Cyanobacteria.pdf
T7b-Algas.pdf

apuntes

-

APUNTES DE TEORIA completos sociedad población y territorio

He publicado nuevos apuntes de 1º Sociedad, Población y Territorio: APUNTES DE TEORIA completos sociedad población y territorio

T1-Estructura-y-dinamica.pdf
T2a-Modelos-territoriales.pdf
T2b-Ciudades-del-Mundo-Actual.pdf
T3-espacios-rurales.pdf
T4-Espacios-rurales.pdf

He publicado nuevos apuntes de Química: Quimica-estequiometria-todas-las-preguntas-PAU-respondidas.pdf

5 páginas

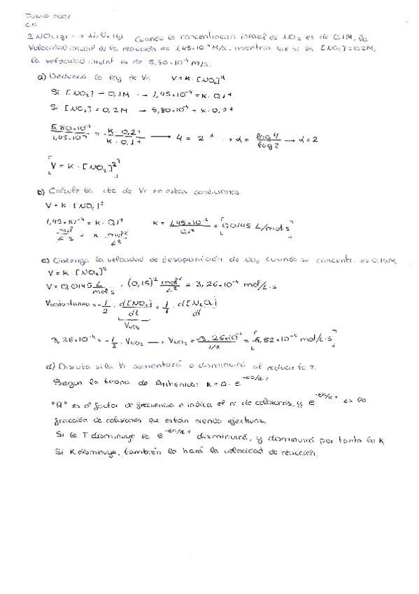
He publicado nuevos apuntes de Química: Quimica-cinetica-todas-las-preguntas-PAU-respondidas.pdf

12 páginas

He publicado nuevos apuntes de Química: Quimica-acido-base-todas-las-preguntas-PAU-respondidas.pdf

14 páginas

He publicado nuevos apuntes de 2º Historia de la Filosofía: Redaccion-La-relacion-del-mito-de-la-caverna-y-la-sociedad-del-siglo-XXI.pdf

1 página

He publicado nuevos apuntes de 2º Historia de la Filosofía: Redaccion-Platon-La-politica-platonica.-La-teoria-del-estado-justo-y-del-filosofo-gobernante.pdf

2 páginas

He publicado nuevos apuntes de 2º Historia de la Filosofía: Redaccion-La-etica-platonica.-El-intelectualismo-moral-de-Platon.pdf

2 páginas

He publicado nuevos apuntes de 2º Historia de la Filosofía: Contextos-y-conceptos-de-Platon.pdf

2 páginas

He publicado nuevos apuntes de 2º Historia de la Filosofía: Redaccion-Dualismo-antropologico-de-Platon.pdf

2 páginas

He publicado nuevos apuntes de 2º Historia de la Filosofía: Redaccion-La-muerte-de-Dios-de-Nietzsche.pdf

1 página

He publicado nuevos apuntes de 2º Historia de la Filosofía: Redaccion-El-nihilismo-y-el-superhombre-de-Nietzsche.pdf

1 página