@NoXxX

Estudios: Grado en Ingeniería Telemática (UV) ...Mostrar más

Bio: Estudiante que ha acabado harto de Telemática! :) Enjoy

598 Publicaciones

8.41k Interacciones

3 Seguidores

1 Siguiendo

Lista de publicaciones de NoXxX

He publicado nuevos apuntes de 3º Ingeniería del Software: DIOS.pdf

9 páginas

He publicado nuevos apuntes de 3º Ingeniería del Software: Formato-Extendido-y-Contratos-Empresa-6-SoftWave.pdf

18 páginas

He publicado nuevos apuntes de 3º Ingeniería del Software: Casos-de-Uso.pdf

6 páginas

ejercicios

-

SSL- Ejercicios Resueltos

He publicado nuevos ejercicios de 2º Señales y sistemas lineales: SSL- Ejercicios Resueltos

Causalidad.pdf
Convolucion-4.pdf
Convolucion-5.pdf
Espectros-Frecuenciales.pdf
Exponenciales-Complejas.pdf
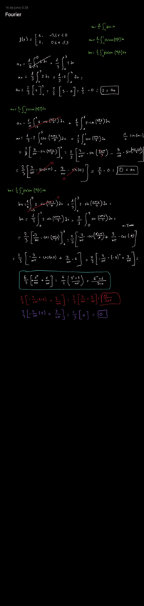
Fourier.pdf

He publicado nuevos apuntes de 2º Fundamentos Matemáticos de las Comunicaciones: Enlaces-a-Videos-de-Interes-por-Temas.pdf

5 páginas

examenes

-

Examen FMC Mayo 2020 Resuelto

He publicado nuevos examenes de 2º Dispositivos Electrónicos y Fotónicos: Examen FMC Mayo 2020 Resuelto

examen-FMC-3.pdf
examen-FMC-4.pdf
examen-FMC-5.pdf
examen-FMC-6.pdf
examen-FMC-1.pdf
examen-FMC-2.pdf

ejercicios

-

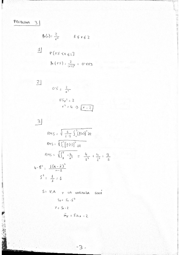
Boletin Ejercicios Tema 2 Resueltos

He publicado nuevos ejercicios de 2º Fundamentos de los Sistemas de Telecomunicaciones: Boletin Ejercicios Tema 2 Resueltos

Escaneado-20190311-2358.pdf
Escaneado-20190311-2355.pdf
Escaneado-20190311-2356-1.pdf
Escaneado-20190311-2356.pdf

ejercicios

-

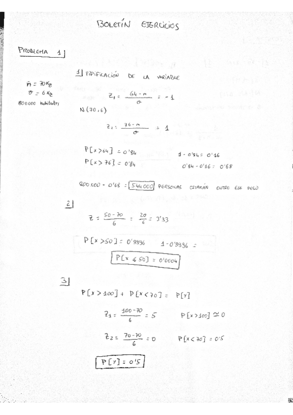
Boletin Ejercicios Tema 1 Resueltos

He publicado nuevos ejercicios de 2º Fundamentos Matemáticos de las Comunicaciones: Boletin Ejercicios Tema 1 Resueltos

Boletin-Ejercicios-Tema-1-4.pdf
Boletin-Ejercicios-Tema-1-2.pdf
Boletin-Ejercicios-Tema-1-3.pdf

ejercicios

-

Ejericios Resueltos Boletin

He publicado nuevos ejercicios de 1º Circuitos Electrónicos: Ejericios Resueltos Boletin

Ejercicio1Tema4boletin2.pdf
Ejercicio1Tema4boletin3.pdf
Ejercicio2Tema2boletin1.pdf
Ejercicio2Tema3boletin1.pdf
Ejercicio2Tema4boletin2.pdf
Ejercicio3Tema2boletin2.pdf