@nymus

Estudios: Grado en Física (UGR) ...Mostrar más

Bio: Física UGR

23 Publicaciones

1.09k Interacciones

1 Seguidores

1 Siguiendo

Lista de publicaciones de nymus

He publicado nuevos apuntes de 3º Física Cuántica: extra2oparcial2023.pdf

10 páginas

apuntes

-

Relaciones 23/24 Resueltas

He publicado nuevos apuntes de 4º Física del Estado Sólido: Relaciones 23/24 Resueltas

Chapter1.pdf
Chapter2Phonons.pdf

He publicado nuevos apuntes de 4º Relatividad General: Teoria-2023-2024.pdf

112 páginas

apuntes

-

Problemas resueltos Evaluación 23/24

He publicado nuevos apuntes de 4º Física del Estado Sólido: Problemas resueltos Evaluación 23/24

Evaluation-Chapter-1.pdf
Evaluation-Chapter-2.pdf
Evaluation-Chapter-4.pdf

apuntes

-

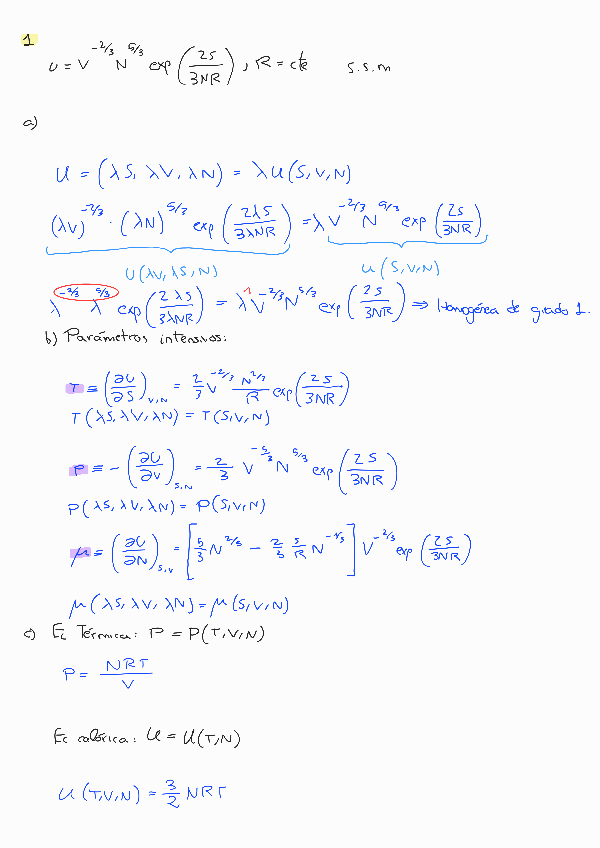
Teoría segundo cuatrimestre

He publicado nuevos apuntes de 3º Física Cuántica: Teoría segundo cuatrimestre

Apuntes-momento-angular.pdf

apuntes

-

Apuntes Cuántica 1er cuatri (curso 22/23)

I

Tema-1Precuantica.pdf
Tema-2Schrodinger.pdf
Operadores-en-el-espacio-de-Hilbert230114202859.pdf
Tema-3potencialesmonodimensionales.pdf

He publicado nuevos apuntes de 2º Métodos Matemáticos I: Integrales-impropias-TIPOS-1-6.pdf

17 páginas

He publicado nuevos apuntes de 2º Mecánica y Ondas: FormulaciAn-hamiltoniana-.pdf

6 páginas

He publicado nuevos apuntes de 2º Mecánica y Ondas: Formulacion-Lagrangiana-.pdf

28 páginas

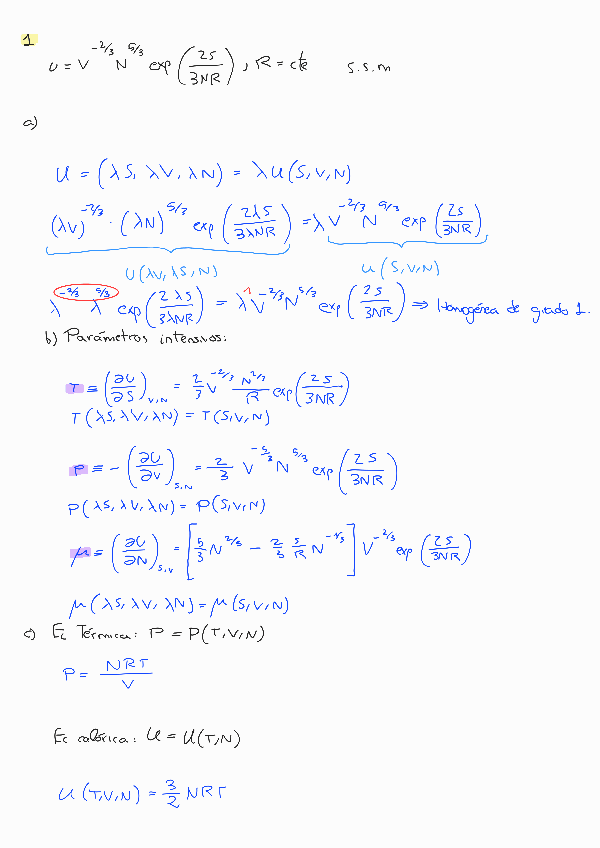
He publicado nuevos apuntes de 2º Termodinámica: Relacion-6-Continuacion.pdf

11 páginas

He publicado nuevos apuntes de 2º Termodinámica: Relacion-6-.pdf

22 páginas

He publicado nuevos apuntes de 2º Termodinámica: Relacion-5-Termo-2122.pdf

6 páginas

He publicado nuevos apuntes de 2º Termodinámica: Relacion-4-Termo-21-22.pdf

4 páginas

He publicado nuevos apuntes de 2º Termodinámica: Relacion-3-Termo-2122.pdf

5 páginas

He publicado nuevos apuntes de 2º Termodinámica: Relacion-2-Termo-2122.pdf

7 páginas

He publicado nuevos apuntes de 2º Termodinámica: Relacion-1-Termo-21-22.pdf

5 páginas

He publicado nuevos apuntes de 1º Análisis Matemático I: Parcialanalisis1.pdf

5 páginas