@oclui

21 Publicaciones

524 Interacciones

2 Seguidores

7 Siguiendo

Lista de publicaciones de oclui

He publicado nuevos apuntes de 2º Química Orgánica II: QO2.pdf

23 páginas

He publicado nuevos ejercicios de 2º Química Orgánica II: Problemas-QO2.pdf

14 páginas

He publicado nuevos apuntes de 2º Química Orgánica I: Aldehidos-y-cetonas.pdf

6 páginas

He publicado nuevos apuntes de 1º Matemáticas I: Calculo-integral-y-ejercicios.pdf

15 páginas

He publicado nuevos apuntes de 2º Química Orgánica I: Sist-pi-y-bencenos-con-ejercicios.pdf

7 páginas

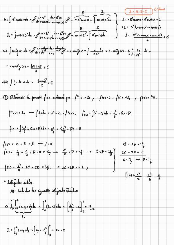
Resumen de Cálculo diferencial y ejercicios de las relaciones.

21 páginas

Reacciones Tema Alquinos

2 páginas

Resumen Tema Alquenos y ejs PRADO y más

8 páginas

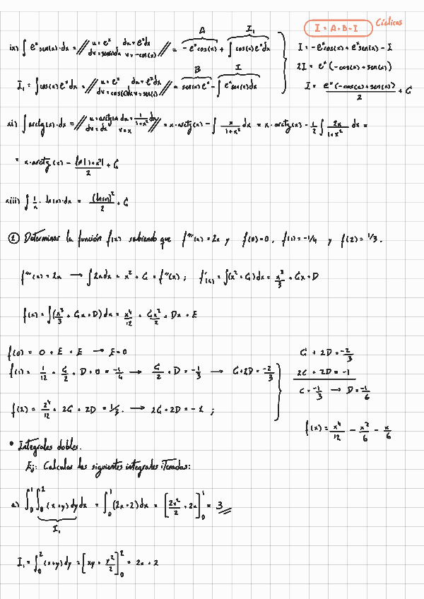
Resumen y Ejercicios Resueltos Alcoholes y Éteres

12 páginas

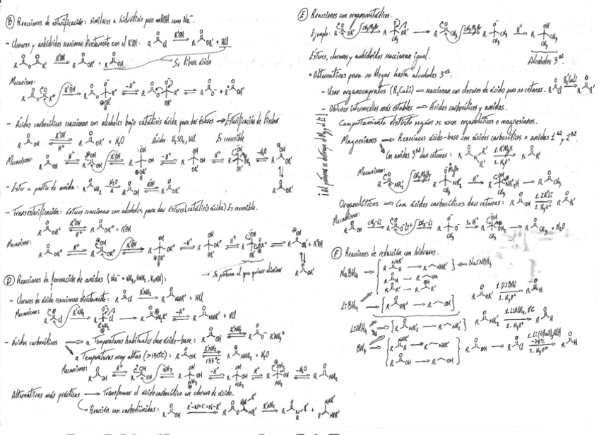
Aquí está todo

39 páginas

He publicado nuevos otros de 2º Química Orgánica I: Organic-Chemistry-by-Jonathan-Clayden-Nick-Greeves-Stuart-Warren-z-lib.org.pdf

1265 páginas

He publicado nuevos apuntes de 1º Química General II: Resumenes-y-Manual-Termodinamica.pdf

3 páginas

He publicado nuevos apuntes de 1º Geología: ResumenesGeologiaInmaculada.pdf

5 páginas

otros

-

Libro Física y solucionario

He publicado nuevos otros de 1º Física I: Libro Física y solucionario

Sears-and-Zemansky-Fisica-Universitaria.pdf
Zemansky-Solucionario.pdf

Libro Física General

747 páginas

Esquema ideas T1-T4 Química General III

10 páginas