@oganeson

9 Publicaciones

235 Interacciones

1 Seguidores

0 Siguiendo

Lista de publicaciones de oganeson

enunciados de los parciales de quifi III del año 2024/25

6 páginas

He publicado nuevos ejercicios de 1º Química General Iv: Actividades-Analisis-Conformacional.pdf

20 páginas

apuntes

-

2º Parcial Apuntes y Ejercicios

He publicado nuevos apuntes de 1º Química General Iii: 2º Parcial Apuntes y Ejercicios

Cambio-Ionico.pdf
Redox.pdf
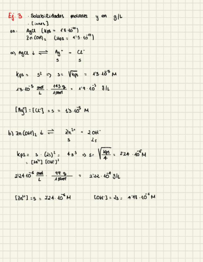
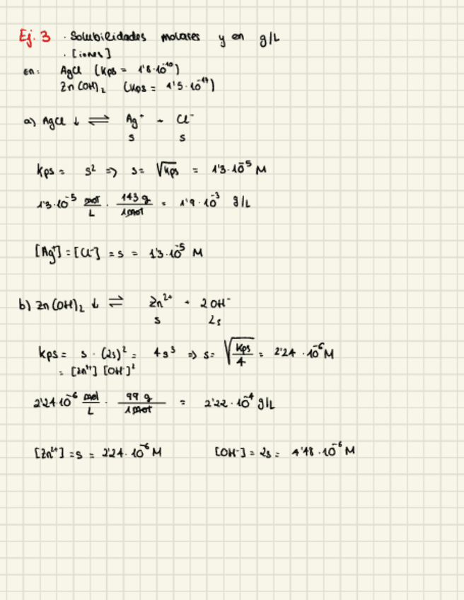
Parte-1-Precipitacion.png
Parte-2-precipitacion.pdf

He publicado nuevos apuntes de 1º Matemáticas II: resumenes-temas-2-a-5.pdf

9 páginas