@ohPit

Estudios: Máster en Ingeniería Industrial (US) ...Mostrar más

24 Publicaciones

1.11k Interacciones

0 Seguidores

0 Siguiendo

Lista de publicaciones de ohPit

Hola

ee

apuntes

-

Presentaciones curso 2022-2023

He publicado nuevos apuntes de 1º Matemáticas Aplicadas a la Ingeniería: Presentaciones curso 2022-2023

Tema-1-Ecuaciones-en-Diferencia.pdf
Tema-2-Ecuaciones-Diferenciales.pdf
Tema-3-Sistemas-de-Ecuaciones-Diferenciales.pdf

apuntes

-

Problemas y Dudas GPI.

Problemas y dudas resueltos en tutoría con el profesor. Preguntas tipo test para practicar.

Problemas-de-valor-ganado-resueltos.pdf
Enunciados-de-los-problemas.pdf
Dudas-GPI-valor-ganado-y-cadena-critica.pdf
Enunciados-de-los-problemas-de-cadena-critica.pdf
Problema-de-cadena-critica-resueltos.pdf
ERRATAS-DE-LOS-ARCHIVOS-Y-OBSERVACIONES.docx

Se comenta que me voy a cagar en mi puta existencia cuando empiecen los examenes

apuntes

-

Problemas de examen resueltos y preguntas de teoría de examen

Los problemas están resueltos pero las preguntas no.

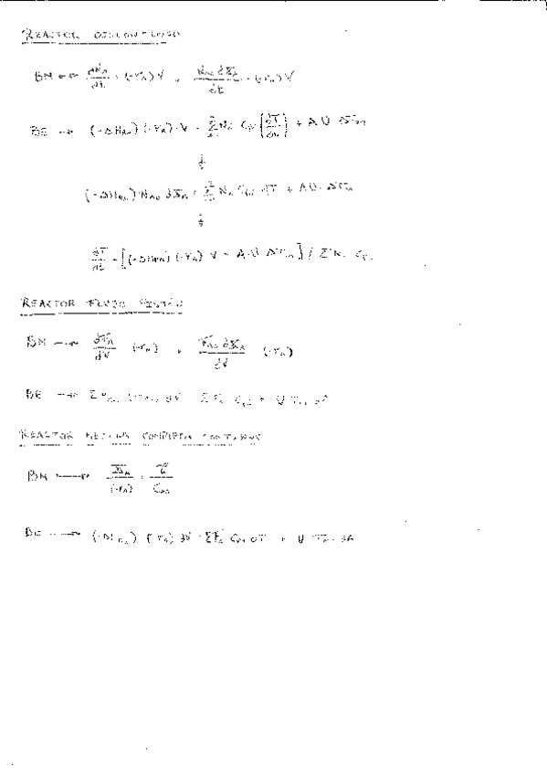
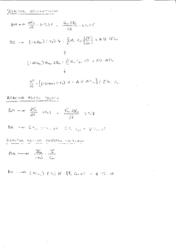
Enunciados de reactores.pdf
Problemas resuelto.pdf
Miniatura no disponible
Programas de reactores.rar

Compilación de test de Procesos del 2º parcial

26 páginas

He publicado nuevos apuntes de 3º Automatización Industrial: PREGUNTAS AI - TEMA 3.pdf

7 páginas

apuntes

-

PREGUNTAS AUTOMATIZACIÓN INDUSTRIAL

He publicado nuevos apuntes de 3º Automatización Industrial: PREGUNTAS AUTOMATIZACIÓN INDUSTRIAL

PREGUNTAS AI - TEMA 1.pdf
PREGUNTAS AI - TEMA 2.pdf

Corregidos por Fernando.

Imagen

Corregidos por Fernando.

Imagen

apuntes

-

Resumen Practicas

He publicado nuevos apuntes de 2º Experimentación en Química II: Resumen Practicas

IMG_20170523_184107[1].jpg
IMG_20170523_184657[1].jpg
IMG_20170523_184852[1].jpg
IMG_20170523_185034[1].jpg
IMG_20170523_185144[1].jpg

Corregidos por Fernando.

1 página