@OliApuntes

Estudios: Bachillerato ...Mostrar más

36 Publicaciones

336 Interacciones

2 Seguidores

0 Siguiendo

Lista de publicaciones de OliApuntes

He publicado nuevos apuntes de 1º Cultura Audiovisual: Funciones-de-la-Imagen-cultura-audiovisual.pdf

9 páginas

He publicado nuevos apuntes de 2º Diseño: Creacion-de-volumen-mediante-planos-seriados.pdf

35 páginas

He publicado nuevos ejercicios de 2º Diseño: Ejercicios-de-reproducir-figuras-disenodibujo-tecnico.pdf

1 página

He publicado nuevos apuntes de 2º Diseño: El-analisis-del-objeto-y-el-diseno-industrial.pdf

7 páginas

He publicado nuevos examenes de 2º Diseño: Examen-de-selectividad-de-diseno.pdf

2 páginas

He publicado nuevos examenes de 2º Técnicas de Expresión Gráfico-Plástica: Examen-de-selectividad-de-tecnicas-de-expresion-grafico-plastica.pdf

1 página

He publicado nuevos examenes de 2º Dibujo Artístico II: Examen-de-selectividad-de-dibujo-artistico-2024.pdf

3 páginas

He publicado nuevos examenes de 2º Lengua Castellana y Literatura II: Examen-de-selectividad-de-lengua-castellana-2024.pdf

3 páginas

He publicado nuevos examenes de 2º Historia de la Filosofía: Examen-de-selectividad-de-Historia-de-la-Filosofia-2024.pdf

2 páginas

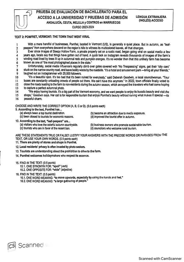
He publicado nuevos examenes de 2º Inglés II: Examen-de-selectivida-de-ingles-2924.pdf

3 páginas

He publicado nuevos examenes de 2º Técnicas de Expresión Gráfico-Plástica: Examen-de-selectividad-de-tecnicas-de-expresion-grafico-plastica.pdf

1 página

He publicado nuevos examenes de 2º Diseño: Examen-de-selectividad-de-diseno-2024.pdf

2 páginas

He publicado nuevos apuntes de 2º Dibujo Artístico II: Examen-de-selectividad-dibujo-artistico-2024.pdf

3 páginas

He publicado nuevos apuntes de 2º Historia de la Filosofía: PREGUNTA-3-EVAU-TEXTO-DE-PLATON-LA-REPUBLICA.pdf

1 página

He publicado nuevos apuntes de 2º Historia de la Filosofía: PREGUNTAS-CORTAS-DE-NIETZSCHE.pdf

2 páginas

He publicado nuevos practicas de 2º Historia de España: PREGUNTAS-SEMIABIERTAS-DE-LA-SEGUNDA-REPUBLICA.pdf

3 páginas

He publicado nuevos apuntes de 2º Diseño: VISTAS-DE-UNA-PIEZA-EN-DISTINTAS-PERSPECTIVAS-SISTEMA-DIEDRICO.pdf

3 páginas

He publicado nuevos ejercicios de 2º Diseño: SISTEMA-DIEDRICO-EJERCICIOS-DE-VISTAS-NIVEL-MEDIO.pdf

5 páginas

He publicado nuevos examenes de 2º Diseño: EXAMEN-DE-PRACTICA-EBAU-DISENO-RESUELTO-2.pdf

8 páginas

He publicado nuevos ejercicios de 2º Diseño: SISTEMA-DIEDRICO-EJERCICIOS-DE-VISTAS-NIVEL-ELEMENTAL.pdf

7 páginas