@Oliver_Y_Benji

22 Publicaciones

1.37k Interacciones

2 Seguidores

0 Siguiendo

Lista de publicaciones de Oliver_Y_Benji

examenes

-

Algunos exámenes resueltos

He publicado nuevos examenes de 3º Análisis Funcional: Algunos exámenes resueltos

Parcial-9-de-enero-2023-Grupo-de-tarde.pdf
Parcial-17-diciembre-2021-Grupo-de-tarde.pdf
Final-12-enero-2022-Grupo-de-tarde.pdf

ejercicios

-

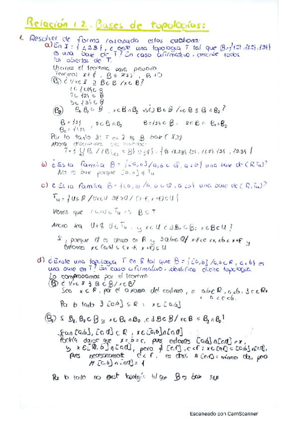
Relaciones parcialmente resueltas 22-23

Faltan algunos ejercicios y no estará todo perfecto, pero algo es algo

Relacion-1-parcialmente-resuelta.pdf
Relacion-2-parcialmente-resuelta.pdf
Relacion-3-parcialmente-resuelta.pdf
Relacion-4-parcialmente-resuelta.pdf
Relacion-3-parcialmente-resueltaPrimera-correcion.pdf

ejercicios

-

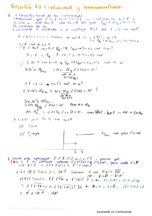
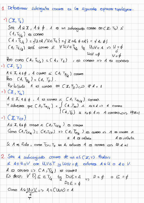
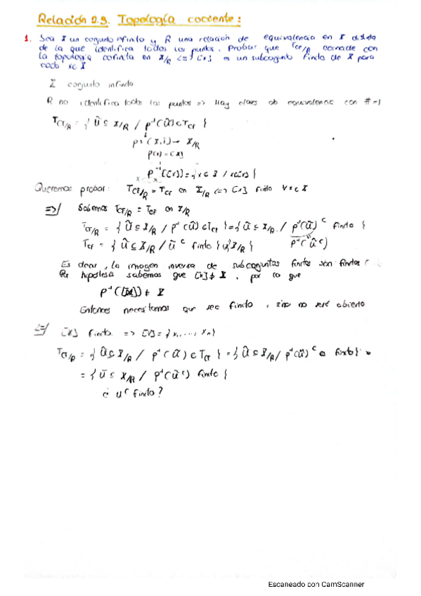
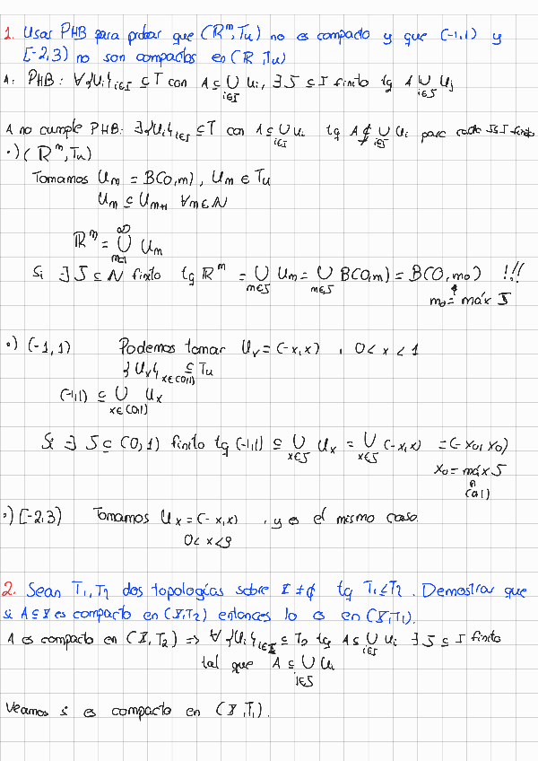
Relaciones resueltas 2021-2022

He publicado nuevos ejercicios de 2º Topología I: Relaciones resueltas 2021-2022

Relacion-2.pdf
Relacion-3.pdf
Relacion-1.pdf
Relacion-2.pdf
Relacion-2.pdf
Relacion-3.pdf

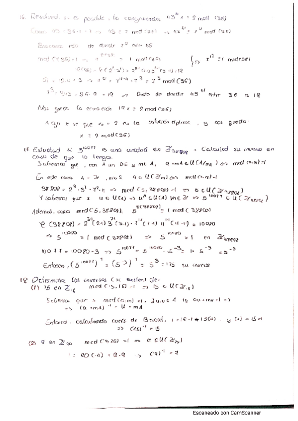
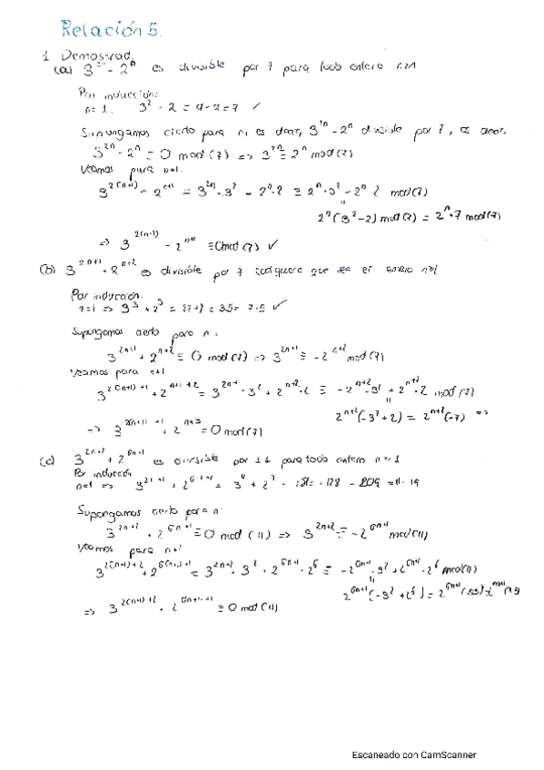
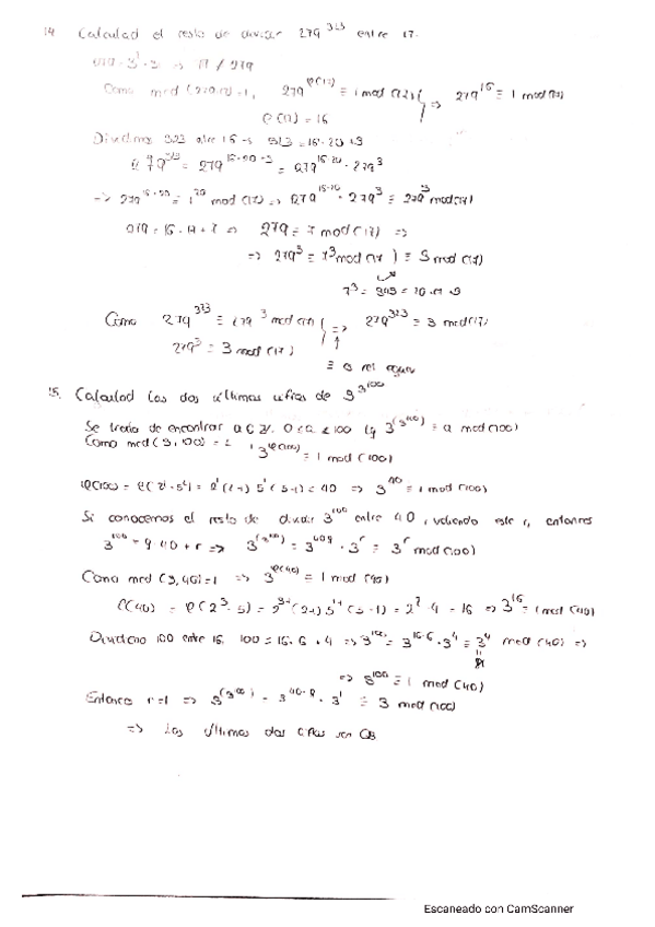
He publicado nuevos ejercicios de 1º Álgebra I: Relacion-5-Parte-2-Resuelta.pdf

11 páginas

He publicado nuevos ejercicios de 1º Álgebra I: Relacion-5-Parte-1-Resuelta.pdf

15 páginas

He publicado nuevos ejercicios de 1º Álgebra I: Relacion-4-Resuelta.pdf

18 páginas

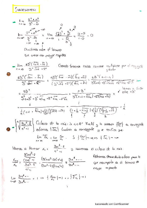
He publicado nuevos apuntes de 1º Cálculo I: Tipos-de-sucesiones-resueltas.pdf

6 páginas

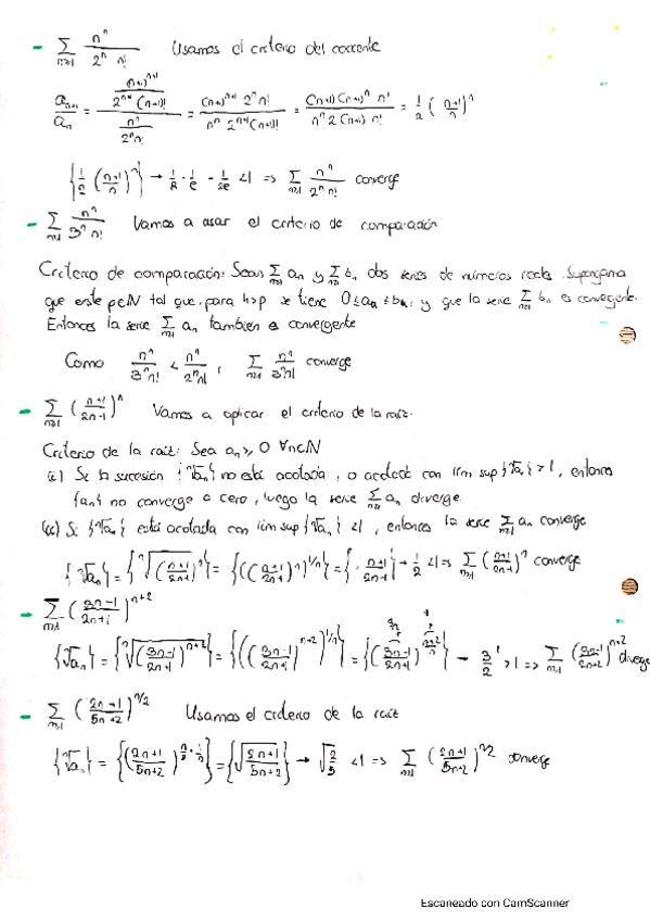
He publicado nuevos apuntes de 1º Cálculo I: Series-resueltas.pdf

6 páginas